
부산광역시·울산광역시 기상특보구역 세분화 방안 연구
Ⓒ 2026 Korean Meteorological Society
Abstract
This study develops and evaluates an optimized subdivision of severe weather alert zones for Busan and Ulsan, using meteorological, high-impact weather, socioeconomic, and land surface data. Based on these variables, a multivariate cluster analysis was conducted at the census output area level. The optimal number of subdivision zones was determined to be three for Busan and two for Ulsan by several statistical methods. From multiple zoning combinations, three candidate plans were selected, and their operational effectiveness was evaluated based on recent occurrences of heatwaves and heavy rainfall. Among them, the combination of high-impact weather and socioeconomic characteristics showed the highest efficiency. This approach is expected to reduce unnecessary alerts, improve the spatial focus of warnings, and it also aligns well with administrative boundaries. The results demonstrate that a single large severe weather alert zone cannot adequately capture local risk patterns. This work provides a scientific basis that supports the redesign of severe weather alert systems and offers a practical framework that could be adapted for other metropolitan areas. In the context of increasing localized extreme weather events, these findings may help optimize resource allocation, and strengthen public responsiveness.
Keywords:
Severe weather alert, Clustering, High-impact weather, Extreme weather1. 서 론
최근 전 세계적으로 집중호우, 폭염, 한파 등 극한 기상 현상의 발생 빈도와 강도가 꾸준히 증가하고 있다(Yoon et al., 2020; Di Capua and Rahmotorf, 2023; Rohde, 2023). 이러한 기상현상은 공간적으로는 국지적이고, 시간적으로는 불규칙하게 나타나는 경우가 많아, 기존의 광역 단위 기상특보 운영체계로는 실제 위험 수준을 정밀하게 반영하기 어려운 한계가 드러나고 있다. 이에 따라 중앙정부 및 지방자치단체는 기상재해로부터 국민의 생명과 재산을 보호하기 위해 다양한 방재 정책을 추진하고 있으며, 특히, 위험기상을 가장 먼저 감지하고 전달하는 기관인 기상청에 대해서는 국민과의 보다 효율적인 소통을 위한 특보체계 개선 필요성이 꾸준기 제기되어 왔다.
현재 기상특보는 하나의 특보구역 내에서 일부 지역이라도 특보기준 이상의 기상현상이 예상되면, 해당 특보구역 전체에 일괄적으로 발효된다. 이로 인해 광역시처럼 면적이 넓고 지역 간 기상 차이가 큰 도시에서는, 동일한 특보 기준 적용이 실제 위험 수준과 일치하지 않는 경우가 자주 발생하고 있다. 이는 방재 대응의 효율성을 저하하고, 사회경제적 비용과 행정력 낭비를 초래하는 원인이 된다. 이러한 문제의식 속에서 국립기상과학원은 서울특별시를 대상으로 세분화 방안을 제안하였고, 2020년 5월부터 이를 기반으로 4개의 세분화된 특보구역(동북권, 동남권, 서북권, 서남권)이 현업에 적용되었다(NIMS, 2020). 서울특별시에 시행된 특보구역 세분화는 대도시에 적용한 최초 사례로, 이후 다른 도시로의 확대 가능성을 보여준 바 있다.
이를 기반으로, 기상청과 국립기상과학원은 부산광역시와 울산광역시를 대상으로 지역의 지형 및 기상 특성을 고려한 특보구역 세분화 방안을 마련하여, 2024년 5월부터 현업에 적용하고 있다. 두 도시는 대한민국 남동부 해안에 위치한 산업·무역 중심 도시로, 인구는 약 440만 명에 달하며, 해안과 내륙, 산지와 도심, 농촌 지역이 혼재된 복합 지형을 보인다. 부산광역시는 해안 지역과 산지 내륙 지역 간 기상 양상이 상이하며(Lee et al., 2003; Do and Jung, 2012: Njungwi et al., 2021; Moon et al., 2022), 울산광역시 역시 내륙 산지 지역과 해안 산업 지역간 지형과 기상 조건의 이질성이 뚜렷하다(Oh et al., 2015). 국내에서 수행된 기존의 지역 구분 연구는 대부분 기온, 강수량, 폭염 등 기상학적 특성을 중심으로 이루어져 왔다(Kim et al., 2017; Wang et al., 2022; Moon et al., 2023). 그러나 재해의 취약성은 단순히 자연적 위험만으로 결정되는 것이 아니라 사회경제적 조건에 영향을 받으므로 인구 구조(취약인구 비율 등), 경제적 상태, 주거형태, 도시화, 산업구조 등에 의해 복합적으로 작용한다(Cutter et al., 2003; Adger, 2006). 지형특성이나 토지피복유형은 폭염과 같은 위험기상 발생에 영향을 미치는 요인으로 알려져 있으며(Park et al., 2016; Song and Park, 2019), 사회경제자료의 공간적 분포에 따라서도 위험기상에 대한 취약성이 상이하게 나타남이 보고된 바 있다(Barberia et al., 2014; Kim et al., 2020). IPCC 제5차 및 제6차 평가보고서에는 재해 위험을 위험원(hazard), 노출(exposure), 취약성(vulnerability)의 결과라고 언급되어 있으며(IPCC, 2014, 2022) 이는 특보체계가 기상현상 자체뿐 아니라 사회경제적, 지형적 조건을 종합적으로 고려해야 함을 시사한다. 즉, 광역 도시의 단일 특보구역 체계가 실제 위험에 대응하기에 한계가 있을 수 있으며, 대도시에 대한 기상학적, 비기상학적 요인을 복합적으로 고려한 특보 구역 설정 필요성을 보여주는 것이라 할 수 있다. 일본은 2010년부터 시정촌 단위의 세분화된 특보를 운영 중이며, 미국에서는 토네이도 발생 예상 시 카운티 단위보다 더 세밀한 구역으로 구분하여 경보를 발표한다. 아울러, 군집분석은 다변량 자료로부터 유사 지역을 분류하는 대표적 방법으로, 기상·재해 취약성 연구에서 지역 특성을 반영한 구분 체계를 설정하는 데 널리 활용되고 있다(Cutter and Finch, 2008; Charrad et al., 2014).
본 연구의 목적은 다음과 같다. 첫째, 부산광역시와 울산광역시의 기상, 사회경제, 지형 정보를 종합적으로 고려하여 기상특보구역 세분화 방안의 과학적 근거를 제시하고 둘째, 도출된 세분화 방안의 효율성을 정량적으로 평가하는 것이다. 이를 위해 부산광역시와 울산광역시의 기상 및 비기상 분포 특성을 분석하고 다양한 종류의 자료를 활용한 공간 군집을 통해 유사 특성을 가지는 지역을 하나의 권역으로 구분하였다. 특히, 폭염, 호우와 같은 주요 위험기상의 공간적 특성과 함께 인구밀도, 산업구조, 지형 등 기상 영향 요인을 반영한 다변수 분석을 통해 다양한 특보구역 세분화 시나리오를 산출하였으며, 각 시나리오별 특보기준 도달일의 차이를 이용하여 효율성을 검토하였다. 최종적으로 가장 효율성이 높은 시나리오를 특보구역 세분화 최종안으로 제시하고자 한다.
2. 연구 방법
2.1 자료 수집 및 전처리
기상 특성 및 위험기상의 공간 분포를 분석하기 위해 2018년부터 2022년까지 관측이 수행된 부산광역시와 울산광역시 관내 및 인근 총 34개 기상청 관측 지점의 기온, 강수, 상대습도 자료를 수집하였다(Fig. 1). 다만, 일 최고 체감기온의 산출에는 상대습도 자료가 필요하여 상대습도 자료가 유효한 2020년 이후의 자료를 사용하였다. 기상 분석 변수로는 1시간 평균 강우량, 일평균 강우량, 여름철(6~8월) 일 최고 체감온도를, 위험기상 변수로는 폭염특보기준 도달일수(일 최고 체감온도 33oC 이상)와 호우특보기준 도달 일수(3시간 60 mm 이상 또는 12시간 110 mm 이상)를 산출하였다. 체감온도는 기상청 운영 산식[식(1)]을 적용하였고, 습구온도(Tw)는 실제 관측하고 있지 않으므로, Stull (2011)의 추정식을 이용하였다[식(2)].
| (1) |
| (2) |
여기서 Ta는 기온, RH는 상대습도를 가리킨다.
본 연구에서는 연구대상 지역이 해안과 산지가 혼재된 복합 지형을 갖고 있음을 고려하여 각 관측지점의 기온과 강수량 자료를 지형 변화에 따라 부드럽게 보간할 수 있는 스플라인(spline, ArcGIS Pro) 기법을 사용하였다. 스플라인은 국지적인 이상값의 영향을 완화하면서도 전체적인 공간 패턴의 점진적인 변화를 정밀하게 재현할 수 있어 부산광역시나 울산광역시와 같이 고도가 영향을 미치는 지역에서 기상장의 공간적 특성을 모형화하는데 유리할 것으로 판단하였다(Shu et al., 2011). 생성된 보간 결과는 통계청 집계구 단위로 평균하여 분석에 활용하였다.
지형자료는 국토지리정보원(NGII, 2012) 5 m 해상도의 수치표고모형(Digital Elevation Model, DEM)을 활용하여 각 집계구별 평균 고도를 계산하였다. 토지 피복도는 환경부의 토지피복도 자료를 사용하였다(ME, 2022). 사회경제적 특성은 ‘2020년 인구주택총조사(KOSIS, 2021)’ 및 ‘2020년 경제총조사(KOSIS, 2022)’를 기반으로, 인구 규모와 밀도, 주택 수, 산업체 수 등을 집계구 단위로 가공하였다(Table 1). 모든 변수를 동일한 가중치로 분석에 투입하였으며 변수 간 다중공선성은 별도로 제거하지 않았다.
2.2 군집 분석 및 특보구역 도출
최적 군집 수는 R 프로그램의 NbClust 패키지(Charrad et al., 2014)를 활용하여 Table 1의 변수들에 대해 23개 군집 평가 지수를 종합해 도출하였다. 각 군집 평가지수들은 군집의 품질을 서로 다른 관점에서 평가한다. 예를 들어, 실루엣 지수(Rousseeuw, 1987)는 군집 내 응집도와 군집 간 분리도를 동시에 고려하며 각 객체 i에 대해
| (3) |
로 정의된다. 여기서 a(i)는 객체 i와 같은 군집 내 다른 객체와의 평균 거리, b(i)는 가장 가까운 다른 군집과의 평균 거리이다. s(i)가 1에 가까울수록 동일 군집 내 응집도가 높고 다른 군집과의 분리가 뚜렷함을 의미하므로, s(i)가 가장 큰 군집 수가 최적안으로 추천된다. Davies-Bouldin (DB) 지수(Davies and Bouldin, 1979)는 군집 내 분산과 군집 간 거리의 비율을 바탕으로 정의되며,
| (4) |
로 계산된다. 여기서 σi는 군집 i의 평균 분산, d(ci, ci)는 군집 중심 간 거리이다. 값이 작을수록 군집 간 분리가 잘 되어 있고 군집 내 응집도가 높음을 의미한다. Calinski-Harabasz (CH) 지수(Calinski and Harabasz, 1974)는 군집 간 분산 대비 군집 내 분산의 비율로, 값이 클수록 군집화의 타당성이 높음을 시사한다. 이와 같이 NbClust는 서로 다른 기준을 지닌 다수의 지표를 동시에 고려하여, 단일 지표만 사용할 경우 발생할 수 있는 편향을 줄이고 보다 객관적이고 강건한 군집 수 선택을 가능하게 한다.
결정된 군집 수에 대해 다양한 변수 조합 시나리오(기상, 기상+사회경제, 기상+지형, 위험기상, 위험 기상+사회경제 등 8가지)를 적용하여 다변량 공간 정보 기반의 ArcGIS의 grouping analysis를 수행하였다. Grouping analysis는 각 공간 단위를 입력 변수의 유사성에 따라 군집화하는 기법으로, 기본적으로 k-means 알고리즘을 확장하여 군집 내 응집도를 높이고 군집 간 이질성을 극대화하는 방향으로 반복 계산을 수행한다. 특히, ArcGIS의 grouping analysis 도구는 단순한 속성 값의 유사성뿐 아니라, 지리적 인접성을 고려할 수 있어, 서로 떨어진 공간 단위가 동일 군집으로 분류되는 비현실적 결과를 줄일 수 있다(Esri, 2021). 이는 실제 행정 단위로 구분해야 하는 특보구역의 운영 특성을 고려할 때 중요한 장점이다. 또한 입력 변수는 모두 표준화 과정을 거쳐 서로 다른 단위와 규모를 가진 자료를 비교 가능하도록 변환한 뒤 적용된다. 따라서 본 연구에서 도출된 군집은 기상·사회·경제·지형 특성을 동시에 반영하면서도 공간적 연속성을 보장할 수 있어 대도시 특보구역 세분화에 적합한 방법론이라고 판단하였다. 도출된 권역 후보안의 특보 운용 효과를 평가하기 위해 최근 5년간 관측된 폭염 및 호우 특보기준 도달 사례를 집계하여 기존 단일 특보체계일 때와 비교하였다.
3. 결과 및 토의
3.1 기상 및 위험기상 특성의 공간 분포
Figure 2와 Fig. 3에 제시된 주요 기상 요소와 위험 기상 지표의 공간 분포를 통해, 연구 대상 지역인 부산광역시와 울산광역시에 기상 및 위험 기상 특성의 공간적 이질성이 뚜렷함을 확인할 수 있었다. 부산광역시의 경우 여름철 일 최고 체감온도는 북서부 내륙 고지대(금정구, 북구, 강서구 등)에서 상대적으로 높은 반면, 해안에 인접한 남부 지역(영도구, 사하구 등)에서는 상대적으로 낮았다(Fig. 2a). 폭염 발생 빈도 역시 해안보다 내륙 고지대에서 높아, 위험기상인 폭염에 대한 노출은 내륙에서 더욱 심각함을 보여준다(Fig. 3a). 위와 같은 분류는 폭염 재해에 취약한 지역 구분 선행 연구결과와 매우 유사하다(Koo et al., 2015; Seol, 2022). 일강수량은 내륙보다 남부 해안을 중심으로 많았으나, 호우 특보기준을 넘는 사례의 빈도는 남부 해안뿐 아니라 중부 내륙 지역(금정구, 동래구 등)에서도 높게 나타나, 하나의 광역 단위로 묶인 기존 특보구역 내에서 지역에 따른 호우 위험도가 다름을 보여주었다(Figs. 2b, 3b).
울산광역시에서도 동해안 인접 도심지역과 서부 내륙 산악지역 사이의 기상 패턴 차이가 컸다. 여름철 일 최고 체감온도와 폭염 특보기준 초과 일수는 울주군 서부의 내륙 산지 일부와 북구·중구의 도심에서 높은 반면, 북부 내륙과 남부 동해안 부근에서는 상대적으로 낮았다(Figs. 2c, 3c). 일강수량은 울주군 남서부에서 가장 많았으나, 호우 특보기준 도달빈도는 울주군 동해안을 중심으로 가장 높게 분석되었으며, 중구와 북구 등 도심 지역에서는 일강수량 및 호우 빈도가 가장 낮았다(Figs. 2d, 3d). 이러한 결과들은 같은 도시 내에서도 해안과 내륙, 고지대와 저지대에 따라 기상특성과 위험기상에 따라 재해 노출 수준이 달라짐을 의미한다. 이는 대도시를 단일 특보구역으로 운영할 경우 국지적인 위험 분포를 반영하기 어렵다는 한계를 뚜렷이 보여주며, 세분화된 특보 구역 설정의 필요성을 뒷받침한다.
3.2 지형 및 사회경제 특성의 공간 분포
부산광역시와 울산광역시 모두 자연 지형과 사회·경제적 특성 역시 지역별로 뚜렷한 격차를 보인다. 부산광역시는 해안 인근의 저지대와 내륙의 고지대가 공존하는 복잡한 지형 구조를 가지며 시 동부의 기장군과 북부의 금정구·북구 등을 중심으로 해발고도가 높은 산지가 분포한다(Fig. 4a). 울산광역시는 시 서부의 울주군 대부분이 산악지형으로 구성되어 있어, 동해안을 따라 위치한 도심 지역(중구, 남구 등)과 지형적으로 뚜렷한 차이를 보인다(Fig. 4b).
Spatial distribution of (a) elevation, (b) land cover and (c~f) some socio-economic high-impact weather events.
집계구는 유사한 수준의 인구를 고려한 것이므로, 그 크기가 작은 곳은 인구가 밀집한 곳으로 해석될 수 있다. 두 도시 모두 인구와 산업시설이 도심 및 공업지역에 밀집해 있으며, 산악·농촌 지역에서는 인구밀도가 낮게 나타난다(Figs. 4b-d).
부산광역시 강서구, 기장군 등과 울산광역시 울주군 등 도시 외곽의 비도심 지역은 취약 인구(고령자 및 영유아 인구)와 1차 산업 종사자(농업 및 어업 등) 비율이 상대적으로 높아 도시 내부에서도 사회적 취약성에 차이가 있었다(Figs. 4e-f). 이러한 지형 및 인구·경제 분포상의 차이는 앞서 살펴본 기상 특성과 결합되어, 동일 도시 내에서도 기상 재해에 대한 취약성과 영향력이 지역별로 다를 가능성을 시사한다. 따라서 대도시 특보구역을 세분화 할 때는 기상 요소뿐 아니라 사회·경제 등 비기상 요인도 함께 고려하는 것이 타당함을 보여준다.
3.3 군집 분석 결과 및 권역 구분
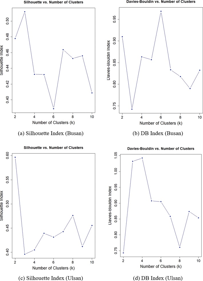
기상, 위험기상, 사회경제 등의 요인들을 고려한 다변량 군집화를 위해 R의 NbClust 패키지를 활용한 통계 지표 평가 결과의 일부를 Table 2와 Fig. 5에 제시하였다. 부산광역시는 군집 수 3개일 때 실루엣 지수는 0.53로 최대, DB 지수는 0.74로 최소, CH 지수는 4446으로 최대를 기록하는 등 통계적으로 가장 우수하였다. 울산광역시는 군집 수 2개일 때 실루엣 지수는 0.60으로 최대, DB 지수는 0.74로 최소, CH 지수는 3886으로 최대를 기록하는 것으로 나타났다.
다양한 변수 결합을 시도하여 구성된 각 도시별 8개의 권역 구분 시나리오들에 대해 권역별 기상 특성, 공간적 연속성, 행정구역 경계 부합 여부 등을 검토하였다. 행정구역 경계 부합 여부는 군집 분석 결과가 실제 행정구 경계와 얼마나 일치하는지를 정량적으로 평가하기 위해 구별 일치율과 전역 일치율을 계산하였다. 구별 일치율은 각 행정구 내에서 집계구가 속한 군집 분포를 집계하여 가장 많이 속한 군집(다수결 군집)에 포함된 집계구 비율로 계산하였다. 전역 일치율은 각 자치구의 다수결 군집에 해당하는 집계구 수를 모두 합산한 뒤 전체 집계구 수로 나누어 산정하였다. 각 후보 방안의 전역 일치율은 부산광역시 0.89~0.96, 울산광역시 0.74~0.97로 모두 높게 나타나, 행정구와의 부합성 측면에서 큰 변별력을 보이지는 않았다. 따라서, 3.1절의 기상/위험기상 발생 특성이 뚜렷하게 구분되는지, 지리적으로 단절되지 않고 연속된 권역으로 구성되는지, 자치구 경계와의 불일치가 최소화되는지를 종합적으로도 함께 고려한 결과 부산광역시와 울산광역시 모두 1) 기상+사회경제, 2) 위험기상, 3) 위험기상+사회경제 결합의 세 가지 시나리오가 비교적 우수한 구분체계를 보여주어, 이들을 세분화 후보 방안으로 선정하였다(Figs. 6, 7).
Candidate plans for the subdivision of severe weather alert zones in Busan Metropolitan City. The gray lines indicate the boundaries of census output areas.
Candidate plans for the subdivision of severe weather alert zones in Busan Metropolitan City. The gray lines indicate the boundaries of census output areas.
부산광역시의 세 가지 방안의 권역 구성을 살펴보면 기상+사회경제 결합 시나리오는 기온이 낮고 강수가 적은 저지대인 서부, 인구와 산업이 밀집한 남해안 중부, 그리고 인구밀도는 낮지만 기온이 높고 산지 내륙을 포함하는 동부로 분류한다(Fig. 6a). 위험기상 기반 방안은 폭염 발생 빈도가 높은 남부 해안이 하나의 권역으로 묶이고 호우특보기준 도달 빈도에 따라 동부와 서부로 분류한다(Fig. 6b). 위험기상+사회경제 결합 방안은 인구가 밀집한 중부, 호우 빈도의 영향을 받은 동부와 서부로 분류한다(Fig. 6c).
울산광역시의 경우 세 가지 방안 모두 동부와 서부로 구분을 제안한다. 다만 세부 군집 구성이 약간 다른데 사회·경제 요소를 포함한 방안들에서는 인구밀도가 높은 남구와 중구가 동부 도심 권역에 속하는 반면, 위험기상만 반영된 방안에서는 이들 지역이 울주군과 함께 서부로 분류된다(Fig. 7). 이는, 폭염·호우 발생 특성만으로 군집화할 경우 울산 도심 일부가 울주군과 동일 권역으로 묶일 수 있지만, 사회·경제 요인을 고려하면 도심권과 비도심권으로 나뉘는 것으로 볼 수 있다.
Figure 6과 Fig. 7의 도시별 세분화 방안은 집계구 단위로 군집화된 결과이나 특보 운영을 위해서는 자치구 단위로 구분되어야 하므로 각 자치구에서 가장 많은 수를 차지하는 군집을 해당 자치구에 할당하였으며 최종 후보 방안들은 Table 3과 Table 4에 제시되었다.

Analysis of warning criteria exceeding frequency and effectiveness of candidate plans for the subdivision of severe weather alert zones in Busan Metropolitan City (2018~2022).
3.4 세분화 방안별 효율성 평가
도출된 세 가지 세분화 후보 방안에 대해 기존의 단일 권역 체계와 비교하여 특보 운영상의 효율성을 정량적으로 평가하였다. 이를 위해 5년간(2018~2022년) 각 방안 적용 시 권역별 특보기준 도달 일수를 산정하고, 권역 간 편차와 특보 발령 감소 효과를 분석하였다. 평가 지표인 ‘세분화 효과1’은 단일 권역 기준의 특보기준 도달일수와 세분화된 권역 중 최소 도달일수 간의 차이, ‘세분화 효과2’는 단일 권역 기준과 각 세분화 권역별 도달 빈도 차이의 총합으로 정의하였다. 부산광역시의 경우에는 특보기준 도달 빈도가 가장 많은 권역과 가장 적은 권역의 도달일수 차이를 ‘권역별 차이’로 정의하여 함께 살펴 보았다. 이 지표들은 각각 특보 발령 범위 축소 가능성과 불필요한 특보 감소 효과를 나타내며, 그 값이 클수록 세분화 방안의 효율성이 높은 것으로 간주하였다.
부산광역시의 경우 5년간 폭염 특보기준에 도달한 날이 총 62일, 호우 특보기준에 도달한 날은 총 40일이었다. 기존 단일 권역 체계에서는 이 모든 날에 부산광역시 전역에 특보가 발효되었을 것이나, 세분화 방안을 적용하면 실제 위험기상이 발생한 권역에만 특보를 발령하여 불필요한 대응을 줄일 수 있음을 확인하였다. 세 가지 세분화 후보 방안들(기상+사회경제, 위험기상, 위험기상+사회경제) 모두 일정 수준의 개선 효과를 보였다. 기상+사회경제 방안은 폭염 사례에서 세분화 효과1이 54로 가장 높아, 폭염 특보일수 축소 효과가 뚜렷했다. 위험기상 방안은 호우 사례에서 권역별 차이가 가장 커 불필요한 호우 특보 발령 감소 측면에서는 감소 효과가 있을 것으로 추정할 수 있다. 그러나 두 방안 모두 다른 지표에서는 일관된 우위를 보이지 못했다. 반면, 위험기상+사회경제 방안이 권역 ‘세분화 효과1’과 ‘세분화 효과2’ 모두에서 가장 안정적으로 높은 값을 나타내, 폭염과 호우 모두에서 균형 잡힌 효율성을 확보한 것으로 평가할 수 있다(Table 2).
울산광역시의 경우 남구에는 5년간 유효한 기상관측자료가 존재하지 않아, 남구의 장생포 관측소 자료가 유효한 2020~2022년(3년간)에 대해 동일한 방식을 적용하였다. 이 기간 동안 울산광역시는 폭염 특보기준은 28일, 호우 특보기준은 10일에 도달하였다. 기상+사회경제 방안은 폭염보다는 호우에 대한 세분화 효과가 상대적으로 뚜렷하였으며 위험기상 방안은 폭염에 대해 상대적으로 우수한 효과를 보였다. 반면, 위험기상+사회경제 방안은 호우와 폭염 모두에서 안정적으로 높은 효율성을 확보하였다(Table 3). 특히, 두 위험기상 현상 모두 울주군인 서부 권역에 집중되어 있어 기존에는 울산광역시 전역에 발령되었을 특보 상당수를 서부 권역에만 한정할 수 있음을 확인하였다. 아울러 해당 방안은 권역 경계가 울주군과 구지역으로 구분되어 행정구 단위와도 일치하며 실무 적용 측면에서도 가장 타당성이 높은 것으로 보인다. 다만, 울산광역시의 특보 효율성 평가 시 3년간의 다소 짧은 기간의 자료를 이용했다는 한계가 있으므로 추가적인 자료 축적과 보완 연구를 통해 장기적인 안정성을 검증할 필요가 있다.
이상의 평가 결과를 종합하면, 부산광역시와 울산광역시 모두 위험기상과 사회경제 정보를 결합하여 권역을 구분하는 방안이 가장 효과적인 특보구역 세분화 전략으로 판단된다. 기상+사회경제 방안과 위험기상 방안이 각각 폭염, 호우 사례에서 부분적 강점을 보였으나 종합적 효율성과 안정성 측면에서는 위험기상+사회경제 방안이 우위를 나타냈다. 따라서, 본 연구에서 제안한 최종 세분화 방안은 실제 위험기상이 자주 발생하는 지역에 특보를 집중 발령하고 불필요한 특보를 줄이면서 행정적 일관성과 수용성을 동시에 확보할 수 있는 가장 합리적 대안으로 판단된다.
이러한 정량적 효율성 평가는 행정적 차원뿐만 아니라 국민 체감 효과와도 연결될 수 있다. 세분화된 특보구역 운영을 통해 불필요한 특보 발효가 줄어들면 특보의 신뢰도가 제고되고 실제 위험 지역 주민에게만 특보가 집중되어 위험 회피의 실효성을 높일 수 있다. 이를 통해 장기적으로 특보에 대한 경각심 유지와 재해 피해 저감에 기여할 것으로 기대한다.
이상의 결과는 해외의 세분화 사례와 비교할 때 차별성을 가진다. 미국은 행정구역 기반(카운티 단위)의 토네이도 경보 체계에서 실패율(false alarm ratio, FAR)이 지나치게 높다는 문제의식 하에 2007년부터 위험예상 지역을 카운티 단위보다 훨씬 세밀하게 지정하여 불필요한 경보 발령을 줄여오고 있다(Brotzge et al., 2011). 일본 기상청은 2010년부터 시정촌 단위를 기본 특보구역으로 설정하여 위험기상에 대응해 오고 있다(JMA, 2025). 그러나 미국은 주로 기상 레이더 기반의 실시간 위험 구역을 반영하는 것이고, 일본은 행정구역 단위의 세분화에 초점을 두고 있는 반면, 본 연구는 기상, 사회·경제 요인을 통합한 정량적 군집분석을 통해 과학적 근거에 기반한 세분화 방안을 제시했다는 점에서 독창성을 가진다.
다만, 본 연구에는 몇 가지 한계가 존재한다. 첫째, 사회·경제적 지표는 인구총조사 및 경제총조사 자료에 기반한 단순 집계 수준의 변수에 국한되어 있어, 재해 취약성의 복합적 속성과 다차원적 속성을 충분히 반영하지 못했을 수 있다. 둘째, 기상 관련 일부 변수들은 다중공선성이 존재할 수 있으나, 이러한 점을 고려하지 않고 동일한 가중치로 분석에 투입하였다. 따라서 본 연구에 제시된 세분화 결과는 기본적인 공간적 경향을 보여주는 탐색적 성격으로 해석하는 것이 타당하다. 향후 연구에서는 복합 취약성 지수를 구성하고 변수 간 상관석 분석 결과를 반영한 변수 축약 및 가중치 설정, 민감도 분석 등을 병행하여 보다 정교한 평가를 통해 개선된 방안을 마련할 필요가 있다.
본 연구에서는 세분화 방안의 효율성을 특보기준 도달일수 감소 효과를 통해서만 평가하였으므로 향후 실제 운영 과정에서 국민 체감 효과(예보, 특보 신뢰도 향상, 위험 인식 및 대피 행동 변화, 피해 저감 효과 등)을 검증하여 세분화 운영 전후의 차이를 비교하는 후속 연구가 필요하다.
4. 결 론
본 연구에서는 부산광역시와 울산광역시의 기상특보구역 세분화 방안을 산출하는 과정을 제시하고 세분화의 타당성과 효과를 확인하고자 하였다. 기상 관측자료, 위험기상 발생 특성, 인구 분포, 지형 및 도시 인프라 정보를 통합한 다변량 분석을 통해 기존의 광역 단위 단일 특보구역을 각각 3개(부산광역시)와 2개(울산광역시) 권역으로 세분화하는 방안을 제시하였다. 세분화된 각 권역은 내부적으로 유사한 기상, 사회·경제 특성을 지니는 반면, 권역 간에는 뚜렷하게 구분되는 특성을 보였고 이는 곧 동일 도시 내에서 지역별로 상이한 위험도를 세밀하게 반영할 수 있는 기반을 제공하였다.
이러한 세분화된 특보구역 운영은 대응 자원의 선택적 배분을 가능하게 하여 특보 운영의 효율성을 제고할 수 있다. 특히, 피해 위험이 높은 지역에 특보를 발효함으로써 행정력이 불필요하게 분산되는 것을 방지하고 방재 자원을 우선순위가 높은 지역에 집중 배치하여 실질적인 대응 역량을 높일 수 있다. 이는 행정 효율성 향상과 더불어 불필요한 특보로 인한 국민의 경각심 약화 및 정보 피로도를 줄이는 데 기여할 수 있을 것으로 기대된다.
나아가 본 연구는 이미 시행 중인 대도시 특보구역 세분화 정책의 과학적 근거를 제시함으로써 향후 다른 지역에 대한 특보체계 개선에도 응용될 수 있는 자료로 활용 가능하다. 기후변화에 따른 국지적 극한 기상 증가에 대응하기 위해 대도시 특보구역을 과학적으로 세분화하는 것은 필수적인 전략이다. 본 연구는 이를 위한 실증적 근거를 제공하였고 향후 전국 단위 특보체계 개선 방향성을 제시했다는 점에서 의의가 있다.
또한 향후에는 세분화된 특보구역 운영이 실제로 국민에게 체감되는 효과를 가져오는지 검증하는 노력이 수반되어야 한다. 세분화 시행 전후의 특보 신뢰도, 대피 행동 분석, 피해 저감 효과의 정량적 평가 등을 통해 제도의 실질적 기여도를 평가할 수 있을 것이다.
Acknowledgments
이 연구는 기상청 국립기상과학원 「기상업무지원기술개발연구-재해기상·목표관측·분석 활용기술 개발(KMA2018-00123)」의 지원에 의해 수행되었습니다.
REFERENCES
-
Adger, W. N., 2006: Vulnerability. Glob. Environ. Change, 16, 268-281.
[https://doi.org/10.1016/j.gloenvcha.2006.02.006]
-
Barberia, L., J. Amaro, M. Aran, and M. C. Llasat, 2014: The role of different factors related to social impact of heavy rain events: Considerations about the intensity thresholds in densely populated areas. Nat. Hazards Earth Syst. Sci., 14, 1843-1852.
[https://doi.org/10.5194/nhess-14-1843-2014]
-
Brotzge, J., S. Erickson, and H. Brooks, 2011: A 5-yr climatology of tornado false alarms. Wea. Forecasting, 26, 534-544.
[https://doi.org/10.1175/WAF-D-10-05004.1]
-
Calinski, T., and J. Harabasz, 1974: A dendrite method for cluster analysis. Commun. Stat., 3, 1-27.
[https://doi.org/10.1080/03610927408827101]
-
Charrad, M., N. Ghazzali, V. Boiteau, and A. Niknafs, 2014: NbClust: An R Package for determining the relevant number of clusters in a data set. J. Stat. Softw., 61, 1-36.
[https://doi.org/10.18637/jss.v061.i06]
-
Cutter, S. L., B. J. Boruff, and W. L. Shirley, 2003: Social vulnerability to environmental hazards. Soc. Sci. Q., 84, 242-261.
[https://doi.org/10.1111/1540-6237.8402002]
-
Cutter, S. L., and C. Finch, 2008: Temporal and spatial changes in social vulnerability to natural hazards. Proc. Natl. Acad. Sci., 105, 2301-2306.
[https://doi.org/10.1073/pnas.0710375105]
-
Davies, D. L., and D. W. Bouldin, 1979: A cluster separation measure. IEEE Trans. Pattern Anal. Mach. Intell., 1, 224-227.
[https://doi.org/10.1109/TPAMI.1979.4766909]
-
Di Capua, G., and S. Rahmstorf, 2023: Extreme weather in a changing climate. Environ. Res. Lett., 18, 102001.
[https://doi.org/10.1088/1748-9326/acfb23]
-
Do, W.-G., and W.-S. Jung, 2012: An analysis on the variation trend of urban heat island in Busan area (2006-2010). J. Environ. Sci. Int., 21, 953-963.
[https://doi.org/10.5322/JES.2012.21.8.953]
- Esri, 2021: How grouping analysis works (ArcGIS Pro tool reference). Environmental Systems Research Institute [Available online at https://pro.arcgis.com, ].
- IPCC, 2014: Summary for Policymakers. Climate Change 2014: Impacts, Adaptation, and Vulnerability. Contribution of Working Group II to the Fifth Assessment Report of the Intergovernmental Panel on Climate Change. Cambridge Univ, 32 pp.
- IPCC, 2022: Summary for Policymakers. Climate Change 2022: Impacts, Adaptation, and Vulnerability. Contribution of Working Group II to the Sixth Assessment Report of the Intergovernmental Panel on Climate Change. Cambridge Univ, 33 pp.
- JMA, 2025: Warnings/advisories (in Japanese). Japan Meteorological Agency [Available online at https://www.jma.go.jp/jma/kishou/know/bosai/warning.html, ].
-
Kim, H., K. Kim, J. Lee, and Y. Lee, 2017: Cluster analysis by month for meteorological stations using a gridded data of numerical model with temperatures and precipitation. J. Korean Data Inf. Sci. Soc., 28, 1133-1144.
[https://doi.org/10.7465/jkdi.2017.28.5.1133]
-
Kim, Y.-O., W. Lee, H. Kim, and Y. Cho, 2020: Social isolation and vulnerability to heatwave-related mortality in the urban elderly population: A time-series multi-community study in Korea. Environ. Int., 142, 105868.
[https://doi.org/10.1016/j.envint.2020.105868]
- Koo, Y. S., J. E. Kim, J. S. Kim, and S. H. Lee, 2015: Study on the improvement of adaptation ability by vulnerability analysis of heat wave - the case of Busan Metropolitan City. J. Korean Reg. Dev. Assoc., 27, 331-348.
- KOSIS, 2021: 2020 Population and Housing Census. Korean Statistical Information Service [Available online at https://kosis.kr, ].
- KOSIS, 2022: 2020 Economic Census. Korean Statistical Information Service [Available online at https://kosis.kr, ].
- Lee, Y., N. Choi, M. Seo, and H. Ahn, 2003: Local urban climate survey in the Busan area. Atmosphere, 13, 244-245.
- ME, 2022: Land Cover Map. Environmental Spatial Information Service, Ministry of Climate, Energy and Environment [Available online at https://egis.me.go.kr, ].
-
Moon, J.-H., S.-Y. Park, and S.-H. Lee, 2022: Comparative study of spatiotemporal variation in the urban heat island core in coastal and inland basin cities. Air Qual. Atmos. Health, 15, 1439-1451.
[https://doi.org/10.1007/s11869-022-01173-4]
-
Moon, N., W. Yeom, D.-H. Park, and J.-H. Ahn, 2023: A study on the segmentation of heat wave warning zones using cluster analysis. J. Korean Soc. Hazard Mitig., 23, 27-36.
[https://doi.org/10.9798/KOSHAM.2023.23.1.27]
- NGII, 2012: Digital Elevation Model (DEM) at 5 m resolution. National Geographic Information Institute [Available online at http://map.ngii.go.kr, ].
- NIMS, 2020: A study on the possibility of subdivision for special weather report area in Seoul. National Institute of Meteorological Sciences, 41 pp.
-
Njungwi, N. W., D. Lee, M. Kim, C. Jin, and C. Choi, 2021: Analyzing the evolution of summer thermal anomalies in Busan using remote sensing and spatial statistical tool. Korean J. Remote Sens., 37, 665-685.
[https://doi.org/10.7780/kjrs.2021.37.4.1]
-
Oh, I., J.-H. Bang, and Y. Kim, 2015: Meteorological characteristics in the Ulsan Metropolitan Region: Focus on air temperature and winds. J. Korean Soc. Atmos. Environ., 31, 181-194.
[https://doi.org/10.5572/KOSAE.2015.31.2.181]
-
Park, K.-H., B.-G. Song, and J.-E. Park, 2016: Analysis on the effects of land cover types and topographic features on heat wave days. J. Korean Assoc. Geogr. Inf. Stud., 19, 76-91.
[https://doi.org/10.11108/kagis.2016.19.4.076]
-
Rohde, M. M., 2023: Floods and droughts are intensifying globally. Nat. Water, 1, 226-227.
[https://doi.org/10.1038/s44221-023-00047-y]
-
Rousseeuw, P. J., 1987: Silhouettes: A graphical aid to the interpretation and validation of cluster analysis. J. Comput. Appl. Math., 20, 53-65.
[https://doi.org/10.1016/0377-0427(87)90125-7]
- Seol, Y., 2022: Busan metropolitan city heat wave disaster assessment according to climate change - comparison with results of heat wave disaster vulnerability analysis. Master’s thesis, Dong-A University, 41 pp.
-
Shu, S., C. Liu, R. Shi, and W. Gao, 2011: Research on spatial interpolation of meteorological elements in Anhui Province based on ANUSPLIN. Proc. SPIE, 8156, 81560U.
[https://doi.org/10.1117/12.892263]
-
Song, B.-G., and K.-H. Park, 2019: A study on the relationship between land cover type and urban temperature - Focused on Gimhae City. J. Korean Assoc. Geogr. Inf. Stud., 22, 65-81.
[https://doi.org/10.11108/kagis.2019.22.2.065]
-
Stull, R. B., 2011: Wet-bulb temperature from relative humidity and air temperature. J. Appl. Meteorol. Climatol., 50, 2267-2269.
[https://doi.org/10.1175/JAMC-D-11-0143.1]
-
Wang, W.-J., S. E. Kim, J. H. Song, J. Lee, K. T. Kim, and H. S. Kim, 2022: Cluster and trend analysis of rainfall time series in the Nakdong River Basin. J. Korean Soc. Hazard Mitig., 22, 205-213.
[https://doi.org/10.9798/KOSHAM.2022.22.2.205]
-
Yoon, D., D.-H. Cha, K.-H. Min, J. Kim, S.-Y. Jun, and Y. Choi, 2020: Recent changes in heatwave characteristics over Korea. Clim. Dyn., 55, 1685-1696.
[https://doi.org/10.1007/s00382-020-05420-1]



