
소백산맥 풍하측 강풍의 종관 유형 분류와 중규모 메커니즘 분석
Ⓒ 2025 Korean Meteorological Society
Abstract
While many previous studies have been conducted on the downslope windstorms (DWs) in the lee of Taebaek Mountains in Korea, no such research has been focused on the lee of Sobaek Mountains at which the DWs often caused wild fires and wind gusts with flight delays. We selected 1,950 cases of DWs in the lee of Sobaek Mountains and classified the mean sea-level pressure patterns into eight clusters using Self-Organizing Map. We found that there are two distinct types: low-passing (Type 1 in Spring, clusters 1 and 5) and west-high and east-low (Type 2 in Winter, clusters 4 and 8) patterns. Others are found to be the transitional patterns between these two types. Using reanalysis and upstream sounding data, we identified that the Type 1 had a more pronounced Foehn effect on the lee of Sobaek Mountains. And, the hydraulic jump was found to be the main mechanism for the DWs in Type 2 with an inversion layer on the windward side especially in clusters 6, 7 and 8 in the case of stratified flow. The partial reflection mechanism was dominant in most types with some differences depending on horizontal wavelength of the mountain wave. Critical-level reflection mechanism was also important in Type 1. DWs in the lee of Taebaek Mountains happened more under the south-high and north-low pattern, which was not the case in the lee of Sobaek Mountains. Type 2 with one case showed a similar mechanism to the Bora wind with hydraulic jump and no critical-level reflection.
Keywords:
Downslope windstorm, Self-organizing map, Hydraulic jump, Partial reflection, Critical-level reflection1. 서 론
풍하측 강풍(downslope windstorm)은 풍상측에서 불어오는 바람이 산을 넘어 산사면을 따라 하강하면서 풍속이 급증하는 현상으로, 고온 건조하고 풍속이 큰 바람을 동반하기 때문에 항공기 운항과 산불 확산에 큰 영향을 끼친다. 특히, 서풍에 대해 우리나라 태백 산맥의 풍하측에 위치한 영동 지방에서 일어나는 풍하측 강풍은 예로부터 영동 지역에서 대형 산불을 자주 발생시키는 원인 중 하나로 지목되어 양간지풍(襄杆之風)이라 불리며 많은 문헌에 기록되었고, 현대에 들어서는 이를 역학적으로 이해하려는 많은 연구들이 진행되었다.
대표적으로 Kim and Chung (2006)은 태백산맥에 거의 직각으로 유입되는 남서풍 내지 서풍이 지배적인 종관 배경 하에서 발생해 산맥의 효과가 최대한 나타난 2005년 4월 5일 발생한 양양 지역의 강풍 사례를 선정하여 수치 모델링 실험을 진행하였으며, 그 결과 풍하측 상공의 파동 파괴(wave breaking)와 그에 동반되는 풍하측에서의 물뜀(hydraulic jump) 현상으로 인해 풍하측 강풍이 일어난다는 것을 확인하였다. 또한, 산악이 높아짐에 따라 풍하측 상공에서의 파동 파괴와 이에 동반되는 물뜀이 더욱 강화되었으며, 풍하측 국지 하강풍의 강도를 결정짓는 중요한 인자는 풍상측 연직 약 2~4 km 상공 유입 기류의 풍속임을 보고하였다. Jang and Chun (2008)은 1971~2005년의 3, 4, 5월 강릉 지역의 일 최대 순간 풍속 자료를 분석하여 92개의 강풍 사례를 선정하였으며, 각 사례들에 대해서 태백산맥의 풍상측에 위치한 오산 프로파일 자료를 이용하여 물뜀, 부분 반사(partial reflection), 임계고도 반사(critical-level reflection)의 세 가지 발생 메커니즘으로 분류하였다. 또한, advanced regional prediction model (ARPS) 모형을 통해 강풍 사례에 대한 2차원 수치 실험을 실행하여 각 메커니즘의 특성들이 나타나는 것을 확인하였다.
마지막으로 Shin et al. (2022)은 군집화 알고리즘 중 하나인 자기조직화지도(self-organizing map; SOM)를 사용하여 1979년부터 2019년까지 태백산맥의 풍하측인 영동 지역의 강릉과 속초에서 발생한 풍하측 강풍을 8개의 군집으로 분류하였고, 이들을 남고북저형, 서고동저형, 저기압 통과형의 세 가지 대표 유형으로 나누어 분석하였다. 또한, 각 유형별 풍상측 흐름의 차이를 분석하여, 물뜀 메커니즘은 서고동저형에서 가장 빈번하게 발생하였고, 산악파의 부분 반사는 모든 유형에서 빈번하게 발생했으나 남고북저형에서 상대적으로 많이 발생하였으며, 산악파의 임계고도 반사는 남고북저형에서 주로 발생하였음을 보였다.
이렇듯 태백산맥의 풍하측 강풍에 대해서는 많은 연구가 이루어져 왔지만, 소백산맥에서 일어나는 풍하측 강풍에 관한 연구는 강릉 지역과 예천 지역의 풍하측 강풍과 산악파를 조사한 Shin (2011)의 연구를 제외하면 거의 이루어지지 않은 상황이다. 하지만, 소백산맥 풍하측에서 발생하는 강풍도 이 지역에서 겨울철과 봄철 발생하는 산불과 관련되어 있으며, 영남 지역에 위치한 공항에서는 이러한 강풍에 의한 항공기 지연 및 산불진화를 위한 헬리콥터 운용에 차질이 발생하는 등 크고 작은 피해가 종종 발생하고 있다. 따라서, 본 연구에서는 Shin et al. (2022)의 방법을 참고하여, 지난 31년간(1993~2023년) 영남 지방의 4개 관측소(영주, 추풍령, 안동, 의성)에서 발생한 풍하측 강풍사례들을 수집하고, 이를 SOM을 이용하여 분류하고자 한다. 또한, 각 유형별 주요 메커니즘을 확인하고, 선행연구와의 비교를 통해 소백산맥의 풍하측 강풍과 태백산맥의 양간지풍 사이에 어떤 차이가 있는지를 비교하려고 한다. 이를 통해 소백산맥 풍하측 강풍을 보다 정확하게 예측하고, 이 지역에서의 산불 예방 및 안전한 항공기 운항에 기여할 수 있는 방법을 모색하고자 한다.
2. 데이터 및 방법
2.1 강풍 사례 선정
본 연구에서는 풍하측 강풍 사례를 선정하기 위해 소백산맥 풍하측에 위치한 4개의 기상관측 지점인 영주, 안동, 의성, 추풍령에서 지난 31년간(1993~2023년) 측정한 종관기상관측장비(automated surface observing systems; ASOS) 자료에서 얻은 일 최대 순간 풍속을 이용하였다. 기상관측 지점의 위치는 Fig. 1에 나타나 있다. 강풍의 기준은 일 최대 순간 풍속이 15 m s-1 (상위 3%)를 초과하는 경우로 설정하였고, 풍향이 180o에서 360o 사이, 즉 서풍 계열인 경우로 한정하였다. 또한, 태풍이 한반도 근처로 접근하지 않은 사례들 만을 선택하여 태풍의 영향으로 발생한 강풍 사례를 배제하였다. 이렇게 모은 사례들은 0000, 0600, 1200, 1800 UTC 중 일 최대 순간 풍속 발생 시각에 가까운 시간을 선택하여, 그 시간대에 강풍이 발생한 것으로 가정하고 분석하였다. 이 기준에 따라 총 1950건의 풍하측 강풍 사례를 수집하였다.
2.2 SOM을 이용한 종관규모 유형 분류 방법
SOM은 튜보 코호넨(Teuvo Kohonen)이 도입한 자동 데이터 분석 방법으로, 주어진 데이터를 특정한 크기의 지도(map)에 할당시켜 군집화 하는 것을 목표로 한다(Kohonen, 2013). 이때 지도는 노드(node)들로 이루어져 있는데, 각 노드에는 특정한 벡터가 할당되어 있다. SOM에 데이터를 입력하면, 입력된 각 데이터와 각 노드 가중치 벡터 사이의 유클리드 거리(euclidean distance)를 측정하고, 거리가 가장 작은 ‘승자(winner) 노드’와 그 주변에 존재하는 ‘이웃(neighboorhood) 노드’들을 함께 주어진 데이터와 비슷해지는 방향으로 업데이트한다. 이 과정을 통해 유사한 데이터는 인접한 노드에 할당되고, 그렇지 않은 데이터는 멀리 떨어지게 된다. 이 과정을 반복하며 SOM을 훈련하면 데이터가 공간적으로 정렬되게 된다(Kohonen, 2013).
본 연구에서는 앞서 확보한 1993년부터 2023년까지 소백산맥 강풍 사례들에 대해 유럽중기예보센터(ECMWF)의 The 5th generation of the European centre for medium-range weather forecasts ReAnalysis (ERA5) 자료를 수집하여 종관규모 유형 분류를 위한 SOM 학습의 입력 데이터로 활용하였다. ERA5 자료는 1시간마다 제공되는 위도 0.25o, 경도 0.25o의 격자 자료로, 본 연구에서는 평균 해면기압 자료를 입력 데이터로 사용하여 SOM을 학습시켰다. 입력 데이터의 영역은 한반도를 중심으로 한 동아시아 지역에 초점을 맞추기 위해 25~50oN, 115~140oE로 결정했는데, 105oE 이하의 경도에서는 티베트 고원의 영향이 있어 결과가 달라질 수 있기 때문에 제외하였다.
입력된 자료를 최적으로 분류할 수 있는 군집 수를 결정하기 위해서는 설명된 군집 분산(explained cluster variance; ECV)과 지형 오차(topographic error; TE)를 계산해야 한다. ECV는 각 군집의 무게중심(centroid)이 데이터를 대표하는 능력을 의미하며, 다음과 같이 정의된다(Philipp et al., 2007).
| (1) |
여기에서 WSS는 같은 군집 내의 모든 객체와 군집 중심 사이의 유클리드 거리의 합으로 계산된 “군집 내 편차 제곱 합(within-cluster sum of squares of deviations)”으로, 다음과 같은 식으로 계산된다(Philipp et al., 2007).
| (2) |
여기서 k는 군집 C의 개수, i는 군집에 속한 오브젝트의 번호, j는 군집의 번호, Xi는 각 오브젝트, Xj는 각 군집 Cj의 중심을 나타낸다. D는 오브젝트와 해당 군집 중심 사이의 유클리드 거리를 나타내며, 다음과 같은 식으로 표현된다(Philipp et al., 2007).
| (3) |
또한, TSS는 모든 객체와 전체 중심(k = 1) 간의 유클리드 거리의 합으로 계산된 “총 군집 제곱 합(total cluster sum of squares)”으로, k = 1일 때의 WSS를 의미한다. 따라서 ECV는 0과 1 사이에서만 변할 수 있으며 분류 기법들을 통해 최대화하는 것이 이상적이다(Philipp et al., 2007). 군집의 개수가 증가할수록 일반적으로 ECV는 증가하지만, 군집의 개수가 너무 많으면 특성을 제대로 파악하기 힘들어진다. 따라서 군집의 개수에 따른 ECV의 변화를 살펴보고, ECV가 급격히 증가하다가 완만하게 증가하기 시작하면서 기울기가 크게 감소하는 부분을 최적의 군집 수로 결정하는데, 이를 엘보우 기법(elbow method)이라 한다.
TE는 전체 입력 데이터 중에서 각 입력 데이터와 가장 비슷한(유클리드 거리가 가장 작은) 첫 번째와 두 번째 노드가 인접하지 않은 입력 데이터의 비율을 나타낸다. TE가 상대적으로 크면 SOM 결과가 공간적으로 정렬되지 않아 적절하게 분류되지 않을 가능성이 높다(Shin et al., 2022). Figure 2a는 군집 개수에 따른 ECV와 d2(ECV)/dN2을 나타낸 것이며, Fig. 2b는 군집 개수에 따른 TE를 나타낸 것이다. 군집의 수가 8개일 때 ECV의 경사가 완만해지기 시작하고, TE가 약 0.25의 국부적 최소값을 가지므로, 본 연구에서는 2개의 행과 4개의 열로 구성된 8개(Figs. 2a-b에서 점선 수직선으로 표시)의 군집으로 분류하기로 결정했다.
2.3 풍상측과 풍하측의 기상요소 비교 방법
풍하측 강풍은 공기가 산맥을 넘으며 고온 건조해지는 현상인 푄(Foehn) 현상을 유발하며, 이는 풍하측에서 이상 고온 현상과 가뭄, 산불이 일어날 수 있는 조건을 제공한다. 각 군집별로 푄 현상의 차이가 어떻게 나타났는지를 알아보기 위해, 풍상측 28개 지점과 풍하측 18개 지점에서 측정한 1시간 간격 ASOS 자료를 이용하여 풍상측과 풍하측의 기온과 상대습도를 비교하였다. 각 관측소의 위치는 Fig. 3a에 나타나 있으며, 관측소의 이름과 번호는 Table 1에 나타나 있다. 이때, 풍하측 강풍에 의한 영향만을 분석하기 위해서 계절성의 영향을 제거한 기온과 상대습도 아노말리 자료가 필요하였다. 이를 계산하기 위해서, 먼저 각 관측소에서 1993년부터 2023년까지 측정된 기온과 상대습도의 월별 평균을 구하고, 각각의 값이 측정된 월에 해당되는 평균값을 뺀 값을 아노말리로 삼았다. 이렇게 구한 아노말리 자료를 이용하여, 풍상측에 위치한 관측소들끼리 기온(또는 상대습도) 아노말리의 평균을 구하고, 마찬가지로 풍하측에 위치한 관측소들끼리 기온(또는 상대습도) 아노말리의 평균을 구해 이 두 평균값을 비교하였다. 또한, 강풍의 발생 원인이 종관 규모의 기압 패턴에 의한 것인지, 혹은 산맥의 지형적 영향에 따른 것인지를 확인하기 위해 같은 방식으로 풍상측과 풍하측의 풍속 평균값을 비교하였다. 다만, 풍속은 계절성의 영향을 크게 받지 않기 때문에, 풍속 평균값을 비교할 때는 아노말리 자료를 사용하지 않았다.
(a) Location of the stations in the ASOS data used to analyze the differences in temperatures and relative humidity between the windward (blue dots) and leeward sides (red dots). (b) Location of ERA5 data of windward (blue dots, used for analyzing hydraulic jump and partial reflection mechanism) and leeward (red dots, used for analyzing critical-level reflection mechanism) side, and a line connecting Osan (marked by black dot) and Uiseong (marked by x).
2.4 발생 메커니즘 분석 방법
SOM을 이용하여 분류한 풍하측 강풍의 종관규모 유형에 따른 중규모 메커니즘을 분류하여 분석하기 위해 두 가지 자료를 사용하였다. 첫 번째 자료는 ERA5 자료로, 1000 hPa부터 100 hPa까지 등압면 상의 기온과 수평 바람 자료를 사용하였다. 두 번째 자료는 오산 공군기지에서 측정하여 와이오밍 대학교에서 제공하는 고층기상관측(sounding) 자료로, 마찬가지로 기온과 수평 바람 자료를 사용하였다. 이용한 ERA5 자료의 영역과 오산 공군기지의 위치는 Fig. 3b에 나타나 있다. 다만, 임계고도 반사 메커니즘과 유입되는 흐름의 분리로 인한 물뜀을 분석하기 위해서는 풍상측 뿐만 아니라 풍하측의 유체역학적 변수들이 필요하므로, Fig. 3b에 빨간색으로 표시된 풍하측 영역의 ERA5 자료를 같이 사용하였으며, 오산 고층기상관측 자료는 사용하지 않았다.
ERA5 자료는 재분석 자료로 일정한 시간 간격과 격자 해상도로 전구 영역에서 제공되지만, 관측 자료만큼 지역적인 특성을 나타내지 못하고, 수치 모델에 대한 의존성을 가지고 있기 때문에 실제 기상과는 거리가 멀 수 있다. 반면, 오산 고층기상관측 자료는 현장에서 직접 측정(in-situ)된 자료로 보다 지역적이고 세밀한 정보를 제공하지만, 측정 오차가 있을 수 있다. 따라서 두 자료의 온도 프로파일 간에 차이가 생길 수 있고, 이러한 차이점을 줄이기 위해서 평활화(smoothing) 과정을 거쳤다.
평활화 과정은 Fochesatto (2014)의 방법을 이용하여, 온도 프로파일을 하층부터 조각 별 선형함수 ϕ(z)로 나타내되, ϕ(z)와 원래 온도 프로파일의 유클리드 거리가 미리 설정한 ε보다 작도록 유지하며 평활화하는 알고리즘을 사용하였다. 이때, ε을 크게 설정할수록 온도 프로파일이 더 많이 평활화 된다. 본 연구에서는 ERA5와 오산 고층기상관측 자료의 온도 프로파일 간의 Mean Absolute Error (MAE)와 Root Mean Squared Error (RMSE) 증가폭이 급격히 감소하고, 두 자료에서 역전층 하부 경계의 평균 고도 차이가 국부적 최소값을 가지는 ε 값을 선정하였고, 결과적으로 ERA5는 ε = 1.2, 오산 고층기상관측 자료는 ε = 2.4로 설정하여 평활화하였다.
풍하측 강풍을 발생시키는 메커니즘은 물뜀, 산악파의 부분 반사, 산악파의 임계고도 반사가 있다. 먼저, 물뜀은 임계 이하적 흐름(subcritical flow)이 산 정상을 넘어가면서 임계 초과적 흐름(supercritical flow)으로 전환되며 가속되는 현상으로, Long (1954)에서 제안되었다. 물뜀 메커니즘은 크게 두 가지 방식으로 분석할 수 있다. 먼저 풍상측에 역전층이 있는 경우, Houghton and Kasahara (1968)의 방식을 따랐다. 풍상측에 단단한 상부 경계(rigid lid) 역할을 하는 역전층이 발생하면, 그 아래의 대기의 흐름은 천수방정식(shallow water equation)을 따른다. 이때 프루드 수 Fr와 무차원화된 흐름의 두께 M은 다음과 같이 나타낸다.
| (4) |
여기서 U는 수평 바람의 속도, g는 중력 가속도, θ는 유체의 평균 온위, ∆θ는 흐름의 상층과 하층 사이의 온위차, h는 흐름의 깊이, H는 산의 높이를 나타낸다. 본 연구에서 U는 Fig. 3b에 나타난 오산-의성 연결선에 대해 투영된 바람의 속도를 풍상측 9개 지점에서 계산한 뒤 그 값을 평균하여 사용하였고, h는 역전층 하부 경계의 높이로 계산했으며, θ와 ∆θ는 연직 온도 프로파일을 사용하여 계산하였다. 산의 높이 H는 소백산맥의 최고봉들의 높이를 평균한 값인 546 m를 사용하였다. 이때, Fr와 M이 다음과 같은 식을 만족할 때 임계 이하적 흐름이 임계초과적 흐름으로 전환된다(Houghton and Kasahara, 1968).
| (5) |
또한, 공기의 흐름은 다음과 같은 식을 만족해야만 산을 넘어갈 수 있다(Houghton and Kasahara, 1968).
| (6) |
따라서 물뜀은 Fr와 M이 식(5)와 (6)을 만족시키는 관계일 때 발생한다.
성층화된 흐름의 경우, Lin and Wang (1996)에 따르면 Fr를 다음과 같이 정의한다.
| (7) |
여기서 U는 수평 바람의 속도, N은 유체의 정적 안정도(brunt-väisälä frequency), H는 산의 높이를 나타낸다. 이때, 0.6 ≤ Fr ≤ 1.12인 경우 물뜀이 발생한다. 본 연구에서는 소백산맥의 영향을 받는 지표면부터 1,000 m 고도 까지의 수평 바람의 속도 U와 정적 안정도 N을 평균하여 계산하였다. U는 앞서 보인 방식대로 바람을 오산-의성 방향으로 투영하여 계산한 뒤 풍상측 9개 지점의 값을 평균하였고, N은 연직 온도 프로파일을 이용하여 계산된 연직 온위(θ)를 이용하여 식을 통해 계산하였다. H는 앞서 보인 바와 같이 546 m로 사용하였다.
부분 반사 메커니즘은 대기안정도가 급격하게 변하는 경계면에서 파동의 부분 반사가 발생하여 상향 전파하는 중력파와 하향 전파하는 중력파가 중첩되며 강풍이 발생하는 메커니즘으로, Klemp and Lilly (1975)에서 처음 제안되었다. 부분 반사 메커니즘을 분석하기 위해서는 먼저 Scorer parameter l을 다음과 같은 식으로 계산한다.
| (8) |
여기서 U는 흐름의 속도, N은 유체의 정적 안정도이다. 이때, 산악파의 연직 파수(m2)는 Scorer parameter의 제곱에서 산악의 대표적인 수평 파수 k의 제곱을 뺀 값(m2 = l2 - k2)으로 정의되며, m2 < 0인 고도가 존재하면 산악파의 부분 반사로 인한 풍하측 강풍이 발생한다고 볼 수 있다(Jang and Chun, 2008). 본 연구에서는 ERA5와 오산 고층기상관측 자료에서 주어진 U와 θ 프로파일을 300 m 간격으로 내삽하여 지표면부터 15 km까지의 U와 θ 프로파일을 생성하였고, 이를 기반으로 l2을 계산하여 l2 프로파일을 생성하였다. 그 다음에는 산악의 수평 파장을 5 km부터 50 km까지 5 km 간격으로 변화시켜가면서 m2을 계산하였고, 특정 고도(3000 m) 이상의 고도에서 m2 < 0이 되는 고도가 존재할 경우 부분 반사가 일어난 것으로 간주하였다.
임계고도 반사 메커니즘은 산악파의 임계고도(U < 0인 고도)가 풍하측 상공에 존재하고, 산악파의 임계고도 근처에서 리처드슨 수(richardson number, Ri)가 0.25보다 작을 때 산악파가 임계고도에서 반사되면서 상향 전파하는 중력파와 하향 전파하는 중력파가 중첩되며 강풍이 발생하는 메커니즘이다. 따라서 오산-의성 방향으로 투영된 수평 바람의 속도 U가 음수인 지점이 존재할 때 임계고도가 존재하는 것으로 간주하였으며, 임계고도의 상하 500 m 영역에서 Ri가 1보다 작은 경우, 0.25보다 작은 경우, 0보다 작은 경우를 각각 살펴보았다.
또한, 풍하측에서 파동 파괴가 일어나 임계고도가 형성되면 풍상측에서 유입되는 흐름이 분리되며 물뜀이 발생할 수 있다(Smith, 1985). 이 경우, 풍하측의 임계고도와 온위가 같은 풍상측 상공 지점의 높이(H0)를 산악파의 연직 파장 으로 나눠 무차원화한 값이 0.25~0.75 사이에 있으면 강풍이 발생한다(Smith, 1985). 본 연구에서는 임계고도의 θ와 가장 비슷한 θ 값을 가진 풍상측의 고도를 H0로 두고, 풍상측의 H0 이하의 U와 N을 평균하여 산악파의 연직 파장 λz을 구한 뒤 0.25 < H0/λz < 0.75인 경우 흐름의 분리로 인해 풍하측 강풍이 발생한 것으로 간주하였다.
3. 유형 분류
3.1 종관규모 유형
Figure 4는 소백산맥 풍하측 강풍 발생시의 종관규모 평균 해면기압을 S OM을 이용하여 8개 군집으로 분류한 것이다. 이 8개 군집 중 군집 1, 5와 군집 4, 8이 큰 차이를 보인다. 군집 1, 5의 경우, 강한 저기압이 형성되어 한반도 북동쪽의 연해주를 통과하고 있으며, 원형의 등압선이 나타나는 저기압 통과형이다. 반면 군집 4, 8은 한반도의 동쪽에 강한 저기압이, 서쪽에 고기압이 위치하여, 한반도에 위치한 등압선이 남북 방향으로 조밀하게 놓여 있는 서고동저형이다. 나머지 4개의 군집들(군집 2, 3, 6, 7)은 저기압 통과형과 서고동저형 사이에 있는 군집들이다. 이 중 군집 2, 3은 원형의 등압선이 관찰된다는 점에서 저기압 통과형에 가깝고, 군집 6과 7은 남북 방향으로 놓여 있는 등압선이 관찰된다는 점에서 서고동저형에 가깝다. 따라서, 본 연구에서는 저기압 통과형의 유형 1(군집 1, 5)과 서고동저형의 유형 2(군집 4, 8)에 대한 자세한 특성을 분석하고 종관규모 유형에 따른 중규모 메커니즘 차이를 더욱 면밀히 살펴보고자 한다.
Classified synoptic mean sea level pressure patterns of downslope windstorm events in Sobaek mountain region. Red and blue outlines indicate low-passing pattern (Type 1) and west-high and east-low pattern (Type 2), respectively.
저기압 통과형의 유형 1(군집 1, 5)은 경압 불안정성이나 풍하측 저기압 발달의 영향으로 발달하며(Lee et al., 1998), 저기압의 후방과 전방에서 각각 한랭과 온난 이류의 영역이 나타나는 것으로 알려져 있다(Shin et al., 2022). 또한, 풍상측에 강수를 동반한 강풍을 유발하는 전선을 가졌을 가능성이 있다(Shin et al., 2022).
서고동저형의 유형 2(군집 4, 8)는 겨울 동안 유라시아 대륙에 축적된 찬 기단에 의해 형성된 시베리아 고기압이 중국 동부와 한반도로 확장하고, 저기압계가 동해에서 발달하거나 동쪽으로 이동하여 일본 홋카이도에서 알류샨 저기압을 형성하며 발생한다(Shin et al., 2022). 이때, 서쪽의 고기압과 동쪽의 저기압 사이에 조밀한 등압선이 형성되면서 한반도 전역에 강한 배경풍과 돌풍을 일으킨다(Cho et al., 2015; Park et al., 2022; Shin et al., 2022).
특이하게도, 선행 연구들(Kim and Chung, 2006; Jang and Chun, 2010; Lee et al., 2020; Shin et al., 2022)에서 영동 지역에 풍하측 강풍을 유발하는 전형적인 종관규모 유형으로 자주 언급된 바 있는 남고북저형 기압배치가 본 연구에서는 나타나지 않았다. 남고북저형 기압배치는 중국 중부, 남부에서 북서태평양으로 이동한 고기압과 중국 북부에서 동쪽으로 이동한 저기압이 한반도 북쪽이나 북동쪽에 위치하면서 형성되며, 한반도 전역에 고기압과 저기압 사이의 조밀한 등압선이 존재하는 유형으로, 한반도에 강한 남서풍을 유발한다(Shin et al., 2022).
이는 태백산맥과 소백산맥이 뻗어 있는 방향과 관련이 있는 것으로 보인다. 한반도에서 태백산맥은 북서-남동 방향으로 뻗어 있고, 소백산맥은 북동-남서 방향으로 뻗어 있다. 남고북저형 기압배치가 형성될 때에는 한반도에 강한 남서풍이 불게 되는데, 태백산맥의 경우에는 산맥에 수직으로 바람이 유입되지만, 소백산맥의 경우에는 산맥에 나란한 방향으로 바람이 불면서 산악에 의한 지형 효과가 나타나기 어렵다. 이는 두 지역의 지형적 특성 차이로 인해 종관규모 환경 및 배경 흐름의 차이가 생길 수 있음을 시사하는 중요한 결과라고 볼 수 있다.
3.2 월별 분포
Figure 5는 각 군집 내 풍하측 강풍 사례의 월별 분포를 막대 그래프로 나타낸 것이다. 우선 유형 1 저기압 통과형 군집 1과 5는 주로 봄철인 3~5월에 집중되어 발생하였고, 여름철인 6~8월과 초가을인 9~10월에도 일부 발생하였다. 군집 1은 11~1월에는 거의 발생하지 않은 반면 군집 5는 11~1월에도 일부 발생하였다는 차이점이 있다. 유형 2 서고동저형 군집 4와 8은 주로 겨울철인 11~2월 이외에는 거의 발생하지 않은 것으로 나타났다. 이것은 유형 2가 겨울철 시베리아 고기압의 확장과 관련되어 있기 때문이다. 나머지 군집들은 봄철과 겨울철에 주로 발생했으며, 군집 2와 6은 주로 봄철에, 군집 3과 7은 주로 겨울철에 더 많이 발생했다.
4. 풍상측과 풍하측의 기상요소 비교
Figure 6a는 각 군집별 풍하측 평균 기온 아노말리에서 군집별 풍상측 평균 기온 아노말리 값을 뺀 것을 막대그래프로 나타낸 것으로, 막대가 길수록 풍상측보다 풍하측의 기온이 더 높다는 것을 의미한다. Figure 6b는 각 군집별 풍하측 평균 상대습도 아노말리에서 군집별 풍상측 평균 상대습도 아노말리 값을 뺀 것을 막대그래프로 나타낸 것으로, 막대가 길수록 풍상측보다 풍하측이 더 건조하다는 것을 의미한다. 이를 통해, 모든 군집에서 산을 넘은 공기가 고온건조해졌다는 것을 알 수 있으며, 봄철에 자주 발생하는 군집 1, 5(저기압 통과형)에서 풍하측과 풍상측간 기온과 상대습도 아노말리의 차이가 크다는 것을 확인할 수 있다. 따라서, 소백산맥을 넘어가며 공기가 고온건조해지는 푄 현상은 주로 유형 1인 저기압 통과형에서 뚜렷하게 나타나며, 유형 2인 서고동저형에 가까울수록 점점 덜 뚜렷하게 나타난다고 볼 수 있다.
For each cluster, (a) temperature anomalies, (b) relative humidity anomalies, and (c) wind speeds on the windward side have been subtracted from those on the leeward side of Sobaek Mountains (leeward minus windward).
유형 2 서고동저형에서 푄 현상이 덜 나타나는 이유는 습윤 푄(wet foehn)과 건조 푄(dry foehn) 간의 열역학적 차이에 근거하여 설명할 수 있다. 일반적으로 습한 공기가 산을 따라 상승할 경우, 응결로 인한 잠열 방출로 인해 기온 감소가 제한된다. 반면, 하강 시에는 응결이 발생하지 않기 때문에 건조 단열 감률을 따라 기온이 빠르게 상승하게 된다. 반면 건조한 공기는 산을 따라 상승할 때 건조 단열 감률을 따라 기온이 하강하고, 하강 시에도 같은 비율로 기온이 상승하기 때문에, 결과적으로 습윤 푄은 건조 푄에 비해 하강 이후 더욱 고온건조해지는 경향이 있다.
이를 분석하기 위해서, ASOS 자료를 사용하여 각 군집별로 풍상측의 상대습도 아노말리가 어떻게 나타나는지를 확인하였다. Figure 7은 각 군집별 AS OS 지점의 상대습도 아노말리를 scatter plot으로 나타낸 것이다. 그림에 따르면, 군집 1, 5에 비해 군집 4, 8의 상대습도 아노말리가 낮게 나타나는 것을 확인할 수 있다. 이는 겨울철에 주로 발생하는 유형 2의 경우 시베리아 고기압의 강한 한기를 동반한 건조한 공기가 태백산맥에 유입되기 때문에 상대적으로 건조 푄 조건에 가까워지는 것으로 이해할 수 있다.
Scatter plot of relative humidity anomalies on the windward side of Sobaek mountains for each cluster.
마지막으로 Fig. 6c는 각 군집별 풍하측 평균 풍속에서 군집별 풍상측 평균 풍속 값을 뺀 것을 막대그래프로 나타낸 것으로, 막대가 길수록 풍상측보다 풍하측의 풍속이 더 빠르다는 것을 의미한다. 모든 군집의 풍하측에서 바람이 가속되는 양상이 나타났으며, 특히 군집 4, 8에서 뚜렷하게 확인되었다. 이러한 특성은 종관장의 영향보다는 공기가 산맥을 따라 하강하며 가속되는 지형적 요인에 기인한 것으로 해석할 수 있다. 따라서 본 사례는 산맥의 영향을 받는 풍하측 강풍 현상으로 판단된다.
5. 발생 메커니즘 분석
5.1 물뜀
Figure 8은 풍상측에 역전층이 발생했을 때, 각 군집별로 Fr와 M에 대한 산점도를 그린 것이다. 그림에는 빨간색 곡선과 파란색 곡선이 묘사되어 있는데, 각각 식 와 을 평면 위에 나타낸 것이다. 이 그림은 각각 D1, D2, D3, D4의 4개의 영역으로 나누어지게 된다. 먼저 D1은 모든 곳에서 임계 이하적 흐름이 나타나는 영역이고, D3는 모든 곳에서 임계초과적 흐름이 나타나는 영역이며, D4는 풍상측에서 흐름이 완전히 막히는 영역이다. 그림에서 회색으로 칠해진 D2는 식(5)와 (6)을 만족시키는 영역으로, 점이 이 영역에 포함되면 물뜀이 발생한다. 또한, Fig. 9는 각 군집 내에서 역전층이 발생한 사례(빨간색)와 물뜀이 발생한 사례(파란색)의 비율을 나타낸 것이다. Figure 8과 9의 (a)는 ERA5 자료를 이용해 계산한 결과이며, (b)는 오산 고층기상관측자료를 이용해 계산한 결과이다. 이 그림에서는 두 자료를 이용해 계산한 결과가 비슷하게 나타났다.
Scatter plots of the nondimensional height (M) versus Froude number (Fr) for downslope windstorm cases with inversion layers in windward in each cluster. Red and blue lines indicate two equations: M=Fr22-32Fr2/3+1 and Fr=M-1MMM+12, respectively. Figure shows a region of subcritical flow (D1), a region of supercritical flow (D3), a region of complete flow blockage (D4), and a region of hydraulic jump (D2, shaded). Average Fr and M indicated in each upper right corner. Calculated from (a) ERA5 and (b) Osan sounding data.
The ratio of cases in which the inversion layer exists (red) and hydraulic jump occurred (blue) in each cluster. Calculated from (a) ERA5 and (b) Osan sounding data.
Figure 8을 Shin et al. (2022)과 비교해 보면, 영동 지역 사례에서는 대부분의 점들이 물뜀 발생 영역(D2)에 위치하고 있는 반면, 영남 지역 사례에서는 대부분의 점들이 왼쪽으로 이동하여 D2에서 벗어나 모든 곳에서 임계 이하적 흐름이 나타나는 영역(D1)에 위치하고 있다는 것을 확인할 수 있다, 이는 태백산맥의 높이에 비해 소백산맥의 높이가 낮기 때문에, M이 작아졌기 때문이라고 해석할 수 있다. 이로 인해 영남 지역 사례에서는 모든 곳에서 임계 이하적인 흐름이 더 많이 나타나면서, 역전층이 발생한 경우 대부분 물뜀이 발생한 영동 지역 사례와는 달리 물뜀 발생 비율이 역전층 발생 비율의 절반 정도밖에 되지 않게 되었다(Fig. 10).
Vertical profiles of average (a) zonal wind speed (U) and (b) Brunt-Väisälä frequency squared (N2) in each cluster from ERA5 data, and vertical profiles of average (c) U and (d) N2 in each cluster from Osan sounding data.
Figure 9에서 저기압 통과형의 군집 1, 5와 서고동저형의 군집 4, 8을 비교해 보면, 군집 1, 5에 비해 군집 4, 8의 역전층 발생 비율과 물뜀 발생 비율이 두 배 가까이 높았다. Figure 10은 ERA5 (a, b)와 오산 고층기상관측자료(c, d)를 이용하여 소백산맥 풍상측 영역에서 평균된 산맥을 가로지르는 바람의 속도(U)와 정적 안정도(N2)의 연직 구조를 군집별로 나타낸 것이다. Figure 10b와 Fig. 10d에서 나타난 군집별 정적 안정도의 연직 구조를 살펴 보면, 군집 4, 8의 대류권 하부의 정적 안정도는 비교적 작게, 중부의 정적 안정도는 비교적 크게 나타나는 것을 확인할 수 있다. 군집 4, 8에서 나타난 정적 안정도의 고도에 따른 급격한 증가는 두 층의 경계면으로서 역전층 발생에 기여하며, 이는 군집 4, 8에서 역전층 발생 비율과 물뜀 발생 비율이 높게 나타나는 이유를 설명한다.
Figure 11은 ERA5 (a)와 오산 고층기상관측자료(b)를 이용하여 각 군집에서 Fr가 0.3과 0.6 사이에 있는 사례(분홍색), Fr가 0.6과 1.12 사이에 있어 물뜀이 발생하는 사례(하늘색), Fr가 1.12보다 큰 사례(파란색)의 비율을 각각 나타낸 것으로, ERA5로 계산한 결과와 오산 고층기상관측자료로 계산한 결과가 크게 차이 나지 않았다. 강한 물뜀이 발생하는 비율은 0.04~0.26 정도로, Shin et al. (2022)에서 제시된 태백산맥 풍하측에서 강한 물뜀이 발생하는 비율인 0.4~0.7과 비교하면 매우 작았다. 반면 파란색으로 표시된 Fr가 1.12를 넘어 물뜀이 일어나지 않는 비율은 0.5~0.8 정도로 Shin et al. (2022)의 0.2~0.4와 비교하면 매우 많았다. 이는 식(7)에 의해 Fr는 산의 높이(H)에 반비례하므로 소백산맥의 높이가 태백산맥의 높이보다 낮아 상대적으로 Fr가 커졌기 때문이다.
The ratio of the range of Froude numbers (Fr) in each cluster: Pink bars indicates cases where Fr is between 0.3 and 0.6, sky-blue bars with number indicates cases where Fr is between 0.6 and 1.12 (hydraulic jump cases), and blue bars indicates cases where Fr is over 1.12. Calculated from (a) ERA5 and (b) Osan sounding data.
Figure 11에서 표현된 물뜀 발생 비율을 군집별로 비교해 보면, 군집 2, 3, 4가 물뜀 발생 비율이 가장 낮았고, 군집 1, 5가 중간 정도이며, 군집 6, 7, 8이 가장 높았다. 이러한 차이가 나타나는 이유는 각 군집별로 지표면부터 1,000 m까지의 평균 U, N, Fr의 분포를 상자 그림으로 나타낸 것(Fig. 12)을 통해 알 수 있다. U는 군집 2, 3, 4에서 가장 크고, 그 다음으로 군집 6, 7, 8에서 크며, 군집 1, 5에서 가장 작다. 반면 N은 군집 2, 3, 4에서 가장 작고, 그 다음으로 군집 6, 7, 8에서 작으며, 군집 1, 5에서 가장 크다. 식(7)에 의해 Fr는 U에 비례하고, N에 반비례하므로, U가 가장 크고 N이 가장 작은 군집 2, 3, 4는 Fr가 1.12를 넘는 사례가 많고, U가 가장 작고 N이 가장 큰 군집 1, 5는 Fr가 0.3과 0.6 사이에 있는 사례가 많으며, U와 N이 모두 중간 수준인 군집 6, 7, 8에서 물뜀이 일어나는 사례가 가장 많아지게 된다.
Box plots of (a) Fr, (b) U, and (c) N in each cluster calculated from ERA5 data, and box plots of (d) Fr, (e) U, and (f) N in each cluster calculated from Osan sounding data. Orange lines indicate the medians. Box edges indicate the first to third quartiles, and whiskers indicate the 5th and 95th percentiles.
5.2 부분 반사
Figure 13은 각 군집별로 산악파의 부분 반사가 발생한 사례의 비율을 나타낸 것이다. Shin et al. (2022)의 경우, 산악파의 수평 파장이 40 km일 때 부분 반사가 나타나는 비율이 0.6에서 0.9 사이인 반면, 본 연구에서는 산악파의 수평 파장이 40 km일 때 모든 군집에서 0.7 이상의 비율로 산악파의 부분 반사가 발생하여 태백산맥보다 소백산맥에서 산악파의 부분 반사 발생 비율이 높다는 것을 확인할 수 있었다.
The ratio of the partial reflection of mountain waves with horizontal wavelengths of 5~50 km in each cluster. Calculated from (a) ERA5 and (b) Osan sounding data.
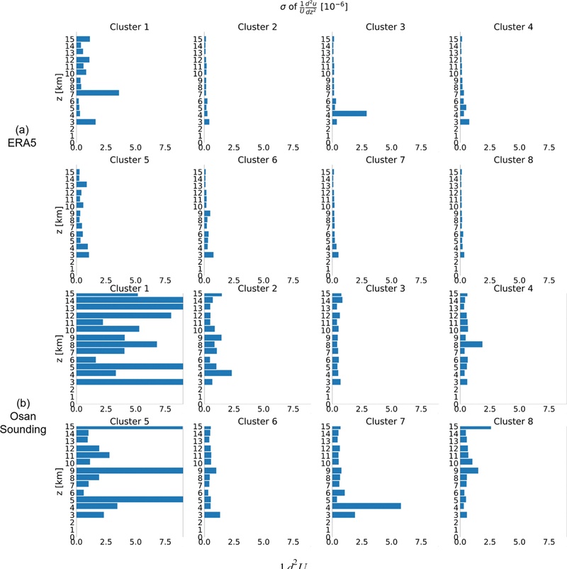
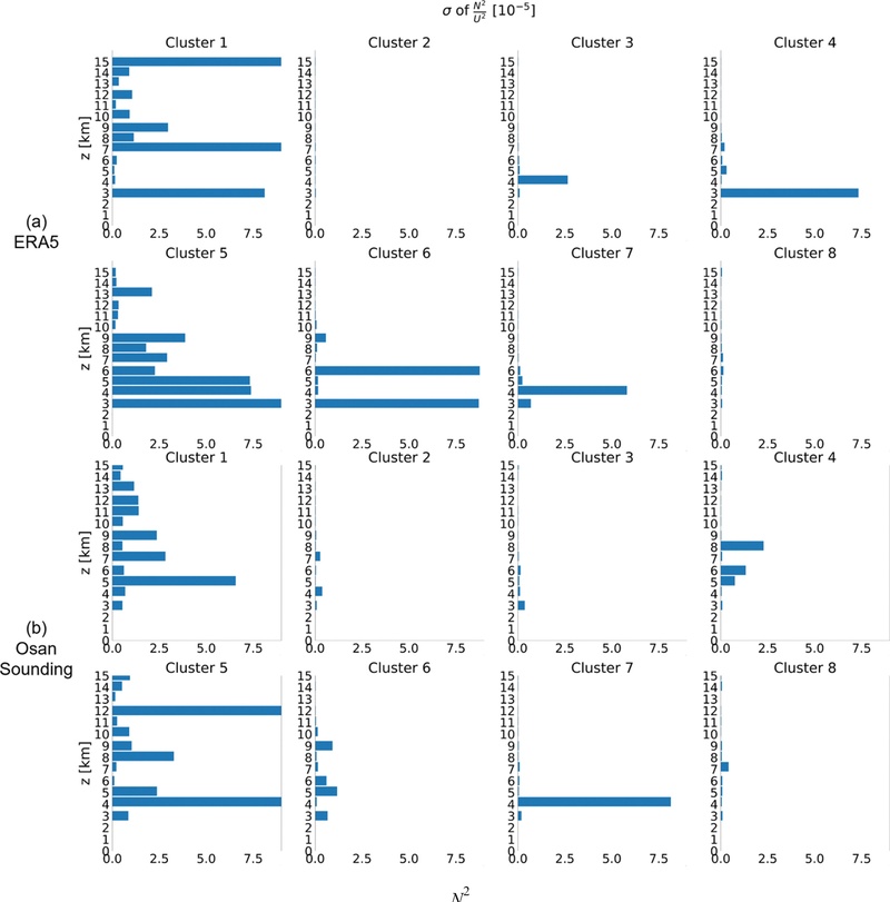
군집별로 비교해 보면, 수평 파장이 20 km보다 짧은 산악파의 경우 유형 1 군집 1과 5에서 다른 군집에 비해 부분 반사 발생 비율이 낮았다. 반면에, 수평 파장이 20 km보다 긴 산악파의 경우 ERA5를 이용한 경우 군집 2와 5에서, 오산 고층기상관측 자료를 이용한 경우 군집 1과 5에서 부분 반사 발생 비율이 높게 나타나 수평 파장이 20 km보다 짧은 산악파의 경우와 반대되는 경향성을 보였다. Figure 14와 15는 각각 ERA5와 오산 고층기상관측 자료에서 얻은 식(8)의 항과 항의 고도별 표준편차를 막대 그래프로 나타낸 것이다. 이 그림에 의하면, 식(8)의 항과 항은 군집 1, 5에서 다른 군집들에 비해 표준편차가 매우 크게 표현되므로 범위가 넓게 퍼져 있는 것을 알 수 있다. 특히, ERA5에서는 항의 표준편차가 오산 고층기상관측자료에서는 항의 표준편차가 크게 나타났다. 따라서, 유형 1 저기압 통과형의 군집 1, 5의 경우 매우 작은 값을 가지는 l2의 비중이 많았고, 이로 인해 산악파의 수평 파장이 긴 경우에도 연직 파수가 음수가 되는 고도가 존재할 수 있어 부분 반사 발생 비율이 높았던 것으로 보인다.
Bar chart showing the standard deviation of the term N2U2 at each height (1 km intervals) in each cluster. Calculated from (a) ERA5 and (b) Osan sounding data.
5.3 임계고도 반사와 유입되는 흐름의 분리로 인한 물뜀
Figure 16은 임계고도가 나타나는 사례의 비율과 임계고도 근처의 Ri가 1, 0.25, 0보다 작은 사례의 비율을 군집별로 나타낸 것이며, Fig. 17은 유입되는 흐름의 분리로 인한 물뜀이 발생하는 사례를 군집별로 나타낸 것이다. Shin et al. (2022)의 경우, 임계고도 반사와 유입되는 흐름의 분리로 인한 물뜀이 발생하는 경우 모두 전체 비율은 약 10% 정도였는데, 본 연구에서는 군집 1, 5를 제외하면 거의 나타나지 않아 태백산맥보다 소백산맥에서 산악파의 임계고도 반사 발생 비율이 낮다는 것을 확인할 수 있었다.
The ratio of downslope windstorm events caused by mountain wave reflection at critical levels above z = 500 m in each cluster. Blue line indicate that the critical level occurred above z = 500 m. Green, orange, and red lines indicate that Richardson number (Ri) near the critical level are below 1, 0.25, and 0, respectively.
The ratio of the downslope windstorms associated with hydraulic jumps caused by formation of dividing streamlines in the upstream in each cluster, according to Smith’s (1985) theory.
군집별로 비교해 보면, 임계고도 반사와 유입되는 흐름의 분리로 인한 물뜀 모두 유형 1 저기압 통과형의 군집 1과 5를 제외하면 거의 발생하지 않았다. 유형 1 저기압 통과형의 군집 1과 5는 상층 바람이 유형 2 서고동저형에 속한 군집보다 약하기 때문에(Figs. 10a, c), 다른 군집들에 비해 임계고도 형성에 더 좋은 조건을 조성할 수 있었기 때문이다.
6. 결 론
본 연구에서는 31년간 영남 지역에서 발생한 소백산맥 풍하측 강풍 사례들을 수집하였고, SOM을 사용하여 풍하측 강풍의 평균 해면기압 배치 유형을 ECV와 TE에 따라 8개의 군집으로 분류하였으며, 그 결과 8개 군집은 저기압 통과형(군집 1, 5)과 서고동저형(군집 4, 8)의 두 가지 유형으로 분류되었다. 이는 남고북저형, 서고동저형, 저기압 통과형의 세 가지 유형으로 분류된(Shin et al., 2022) 영동 지역의 풍하측 강풍과 뚜렷한 차이를 보였다.
이렇게 분류된 각 군집별로 풍상측과 풍하측의 기온과 상대습도 아노말리를 비교하여, 각 군집별로 푄현상의 차이를 분석하였다. 결과적으로, 군집 1, 5에서 풍상측과 풍하측간의 기온과 상대습도 아노말리의 차이가 가장 컸으며, 이는 풍하측 강풍으로 인한 푄현상이 봄철에 주로 발생하는 유형 1 저기압 통과형에서만 발생하였음을 시사한다. 한편, 군집 4, 8인 서고동저형 유형에서는 풍상측과 풍하측간의 기온과 상대습도 아노말리 차이가 가장 작았으며, 이는 서고동저형 패턴일 경우 차갑고 건조한 시베리아 고기압 기단 영향이 지배적인 보라(bora) 형태의 강풍으로 분석된다.
또한 각 유형별로 어떠한 중규모 메커니즘이 주로 발생하였는지를 분석하였고, 이를 태백산맥에서 발생한 풍하측 강풍의 중규모 메커니즘을 분석한 선행연구와 비교하였다. 먼저, 태백산맥 풍하측 강풍과 비교하였을 때, 산악파의 부분 반사 메커니즘이 더 빈번하게 발생하였고, 물뜀 메커니즘과 임계고도 반사 메커니즘은 덜 발생하였다. 물뜀 메커니즘은 풍상측에 역전층이 발생한 경우 주로 유형 2 서고동저형의 군집 4, 8에서, 성층화된 흐름의 경우 주로 군집 6, 7, 8에서 발생하였다. 산악파의 부분 반사 메커니즘은 대부분의 유형에서 빈번하게 발생하였으며, 산악파의 수평 파장에 따라 다른 경향성을 보였다. 임계고도 반사 메커니즘은 주로 유형 1 저기압 통과형의 군집 1, 5에서 발생하였다.
특히, 서고동저형의 경우, 일본 효고현 고베시에 위치한 롯코산에서 발생하는 풍하측 강풍인 ‘롯코오로시(Rokko-oroshi)’와 여러 유사성을 가지고 있다. 우선 롯코오로시가 발생하는 롯코산은 소백산맥과 마찬가지로 북동-남서 방향으로 뻗어 있으며, 일본 열도에 서고동저형 기압 배치가 형성되었을 때 발생한다(Takimoto, 2022). 또한, 롯코오로시는 풍상측에 역전층이 형성되었을 때 주로 발생하고, 풍하측에서 푄현상이 나타나지 않고 오히려 풍하측의 온도 감소를 야기하며, 프루드 수가 1을 초과하며 임계 이하적 흐름이 임계 초과적 흐름으로 전환되는 물뜀이 나타난다(Takimoto, 2022). 이러한 롯코오로시의 특성들은 풍상측에 역전층이 발생하는 경우가 많고, 푄현상이 잘 나타나지 않으며, 물뜀 메커니즘이 빈번하게 나타나는 서고동저형의 소백산맥 풍하측 강풍과 매우 유사하다.
이를 더욱 객관적으로 이해하기 위해, 서고동저형 기압 배치 하에서 발생한 강풍 사례 중, 최대순간풍속이 23.9 m s-1로 매우 컸던 사례인 2023년 12월 16일의 사례를 Takimoto (2022)의 방식으로 분석하였다. Figure 18은 사례일에 최대순간풍속이 나타난 시간대인 0500 UTC (1400 KST)의 지상 일기도를 나타낸 것이고, Fig. 19는 AS OS 자료를 이용하여 사례일의 풍상측(충주)과 풍하측(영주)의 기상 요소들을 시계열로 나타낸 것이다. 분석 결과, 1300 KST에 풍상측보다 풍하측의 바람이 가속되는 현상이 나타났으며(Fig. 19a), 방향은 모두 서풍 계열로 나타났다(Fig. 19c). 이때 풍하측의 기온 감소가 나타났으며(Fig. 19b), 강풍 발생 이전에는 풍상측의 온위가 풍하측보다 작았다가 강풍 발생 시점에는 풍상측과 풍하측 간의 온위가 거의 같아졌다(Fig. 19d). 이는 Takimoto (2022)에서 언급된 일본의 롯코오로시 사례의 특성과 유사한 양상을 나타내었다.
Time series of (a) wind speed, (b) temperature, (c) wind direction, and (d) potential temperature at windward (Cheongju, blue) and leeward (Yeongju, orange) station on December 16, 2023.
또한, 기상청에서 제공하는 국지예보모델(LDAPS) 모델면 자료를 이용하여, 연직 단면을 분석하였다. Figure 20은 사례일 0600 UTC의 연직단면도를 나타낸 것으로, 붉은 점선은 등온위선을, 색칠된 부분은 각각 Fig. 20a에서는 연직 속도, Fig. 20b에서는 수평 바람의 속도를 나타낸다. 연직단면도를 통해, 풍하측 산기슭에서 매우 강한 하강기류가 발생하는 것을 확인할 수 있고, 이로 인해 풍하측에 강풍대가 형성된 것을 확인할 수 있다. 또한, 하강기류의 동쪽 영역에는 강한 상승기류가 나타나며 물뜀의 특성과 유사한 흐름이 발생하였다. 다만, 풍하측 상공에서 U<0인 영역이 나타나지 않아, 물뜀에 의한 파동 파괴는 나타나지 않은 것으로 보인다. 이러한 분석은 수치모델 자료인 LDAPS의 특성상 정확성에 한계가 있을 수 있으므로, 이에 대해서는 고해상도 수치모델링 등을 통한 추가적인 연구가 더 필요할 것으로 보인다.
Cross section of (a) vertical velocity and (b) meridional wind speed for 0600 UTC December 16, 2023. Red dotted contours denotes potential temperature (contour interval of 3 K).
Takimoto (2022)는 롯코오로시를 풍상측의 대기 구조가 절대 안정에서 조건부 불안정으로 바뀌며 공기가 산 위로 강제적으로 이동한 뒤 하강하는 과정에서 발생하는 ‘보라(bora)’형 바람으로 설명하고 있다. 서고동저형의 소백산맥 풍하측 강풍이 정말로 롯코오로시와 유사한 보라형 바람인지 확인해 보기 위해서는 대표 사례에 대한 중규모 수치모델링을 이용한 추가적인 사례 연구들(e.g., Kim and Chung, 2006; Park et al., 2022)을 통해 소백산맥 풍상측의 대기 구조가 절대 안정에서 조건부 불안정으로 바뀌는지에 대한 분석이 필요할 것으로 보인다.
궁극적으로 본 연구를 통해 소백산맥의 풍하측 강풍과 태백산맥의 풍하측 강풍의 종관 패턴 및 중규모 메커니즘의 차이점을 이해하였으며, 이는 소백산맥의 풍하측 강풍에 대한 보다 정확한 예측 기준을 세우는 데 도움을 줄 수 있을 것으로 기대된다. 또한, 종관 패턴에 따라 소백산맥 풍하측 강풍 발생 메커니즘에 프루드 수, scorer parameter, 리처드슨 수와 같은 중규모 매개변수들이 어떻게 다르게 작용하는지를 살펴봄으로써 강풍 예보 가이던스 개발에 기초적인 정보로 활용될 수 있을 것으로 보인다. 추후에는 본 연구 및 소백산맥에서 강풍 피해가 발생된 사례들 중 대표적인 사례들에 대한 수치 실험을 통해, 본 연구에서 보인 세 가지 주요 중규모 메커니즘들이 어떻게 소백산맥 풍하측 강풍 형성에 기여하였는지 확인하는 연구가 필요할 것이다.
Acknowledgments
본 논문의 질적 향상을 위해 많은 조언을 해주신 두 분의 심사원분들께 깊은 감사의 말씀을 드립니다. 이 연구는 기상청「위험기상 선제대응 기술개발사업」(RS-2023-00233640)과「차세대 항공교통 지원 항공기상 기술개발(NARAE-Weather)」(KMI2022-00310과 KMI2022-00410)의 지원으로 수행되었습니다.
REFERENCES
-
Cho, Y.-J., T.-Y. Kwon, and B.-C. Choi, 2015: Characteristics of meteorological variables in the Leeward side associated with the downslope windstorm over the Yeongdong region. J. Korean Earth Sci. Soc., 36, 315-329.
[https://doi.org/10.5467/JKESS.2015.36.4.315]
-
Fochesatto, G. J., 2015: Methodology for determining multilayered temperature inversions. Atmos. Meas. Tech., 8, 2051-2060.
[https://doi.org/10.5194/amt-8-2051-2015]
-
Houghton, D. D., and A. Kasahara, 1968: Nonlinear shallow fluid flow over an isolated ridge. Commun. Pure and Appl. Math., 21, 1-23.
[https://doi.org/10.1002/cpa.3160210103]
- Jang, W., and H.-Y. Chun, 2008: Severe downslope winds of Gangneung in the springtime. Atmosphere, 18, 207-224.
-
Jang, W., and H.-Y. Chun, 2010: A numerical study on severe downslope windstorms occurred on 5 April 2005 at Gangneung and Yangyang, Korea. Asia-Pac. J. Atmos. Sci., 46, 155-172.
[https://doi.org/10.1007/s13143-010-0015-2]
- Kim, J.-H., and I.-U. Chung, 2006: Study on mechanisms and orographic effect for the springtime downslope windstorm over the Yeongdong region. Atmosphere, 16, 67-83.
-
Klemp, J. B., and D. R. Lilly, 1975: The dynamic of wave-induced downslope winds. J. Atmos. Sci., 32, 320-339.
[https://doi.org/10.1175/1520-0469(1975)032<0320:TDOWID>2.0.CO;2]
-
Kohonen, T., 2013: Essentials of the self-organizing map. Neural Networks, 37, 52-65.
[https://doi.org/10.1016/j.neunet.2012.09.018]
-
Lee, J., J. M. Seo, J.-J. Baik, S.-B. Park, and B.-S. Han, 2020: A numerical study of windstorms in the Lee of the Taebaek Mountains, South Korea: characteristics and generation mechanisms. Atmosphere, 11, 431.
[https://doi.org/10.3390/atmos11040431]
-
Lee, T.-Y., Y.-Y. Park, and Y.-L. Lin, 1998: A numerical modeling study of mesoscale cyclogenesis to the east of the Korean Peninsula. Mon. Wea. Rev., 126, 2305-2329.
[https://doi.org/10.1175/1520-0493(1998)126<2305:ANMSOM>2.0.CO;2]
-
Lin, Y.-L., and T.-A. Wang, 1996: Flow regimes and transient dynamics of two-dimensional stratified flow over an isolated mountain ridge. J. Atmos. Sci., 53, 139-158.
[https://doi.org/10.1175/1520-0469(1996)053<0139:FRATDO>2.0.CO;2]
-
Long, R. R., 1953: Some aspects of the flow of stratified fluids I, A theoretical investigation. Tellus, 5, 42-58.
[https://doi.org/10.1111/j.2153-3490.1953.tb01035.x]
-
Park, J.-R., J.-H. Kim, Y. Shin, S.-H. Kim, H.-Y. Chun, W. Jang, C.-L. Tsai, and G. Lee, 2022: A numerical simulation of a strong windstorm event in the Taebaek Mountain Region in Korea during the ICE-POP 2018. Atmos. Res., 272, 106158.
[https://doi.org/10.1016/j.atmosres.2022.106158]
-
Philipp, A., P. M. Della-Marta, J. Jacobeit, D. R. Fereday, P. D. Jones, A. Moberg, and H. Wanner, 2007: Long-term variability of daily North Atlantic–European pressure patterns since 1850 classified by simulated annealing clustering. J. Climate, 20, 4065-4095.
[https://doi.org/10.1175/JCLI4175.1]
- Shin, K.-C., 2011: A Study of down-slope windstorms and mountain waves of the Taebaek and the Sobaek Mountains. Doctoral dissertation, Chosun University, 53 pp.
-
Shin, Y., J.-H. Kim, H.-Y. Chun, W. Jang, and S.-W. Son, 2022: Classification of synoptic patterns with mesoscale mechanisms for downslope windstorms in Korea using a self-organizing map. J. Geophys. Res. Atmos., 127, e2021JD035867.
[https://doi.org/10.1029/2021JD035867]
-
Smith, R. B., 1985: On severe downslope winds. J. Atmos. Sci., 42, 2597-2603.
[https://doi.org/10.1175/1520-0469(1985)042<2597:OSDW>2.0.CO;2]
-
Takimoto, I., 2022: Case study of the downslope wind of Japan “Rokko-oroshi”. Atmos. Sci. Lett., 23, e1097.
[https://doi.org/10.1002/asl.1097]





