
2024년 여름철 고층집중관측자료 영향평가
Ⓒ 2025 Korean Meteorological Society
Abstract
The Korea Meteorological Administration (KMA) has been conducting Intensive Observations Periods (IOP) since 2020, to monitor and improve predictability of severe weather phenomenon that flows in from the West Sea and Gyeonggi Bay during the summer, which significantly impact the Seoul metropolitan area. During the summer of 2024, KMA carried out intensive observations four times using radiosonde deployed from a weather ship (Gisang1ho), an aircraft (Naraho) and vehicles over 10-day periods. The IOP data was provided to weather forecasters in real-time, helping them to quickly analyze hazard weather, and assimilated in operational NWP models. In this study, we evaluated the effectiveness of IOP data through Observing System Experiment (OSE) and Ensemble Forecast Sensitivity to Observation (EFSO) analysis using the KIM (Korean Integrated Model). The predictability of KIM for lower-level temperature in Asia region showed significant improvement. The IOP data also improved the accuracy of precipitation, maximum temperature and typhoon forecasting. EFSO-based assessment for 1st period (24 June~3 July) revealed that the IOP data from Anmyeondo radiosonde (vehicle) had the most positive impact on improving the predictability of temperature and wind in KIM. While, dropsonde data of aircraft contributed most significantly to humidity prediction. The IOP is planned to be carried out until 2026, and therefore, the impact assessment of upper-air intensive observation data will be continuously conducted using OSE and EFSO. Long-term impact assessment of these observations is expected to provide valuable insights for designing an optimal observation network in the future.
Keywords:
Observing system experiment, Ensemble forecast sensitivity to observation, Intensive observation, Radiosonde, Dropsonde, Numerical weather prediction1. 서 론
기후변화는 한반도의 강수 패턴, 강수량과 시기뿐만 아니라 집중호우의 빈도와 강도도 변화시키고 있다. 특히 최근 몇 년간 여름철 강수 양상은 과거와 현저히 달라지고 있으며, 이로 인한 사회·경제적 피해가 점점 심각해지고 있다. 예를 들어, 2020년 여름철 장마는 중부지방을 기준으로 54일 동안 지속되며, 1973년 이후 가장 긴 장마로 기록 되었다. 이 기간 동안 빈번한 집중호우가 발생하여 막대한 피해를 초래하였다. 또한 2022년에는 장마철이 지난 후에도 강수가 지속되었으며, 특히 8월 8일부터 11일까지 정체전선이 중부지방에 머물면서 기록적인 폭우가 내렸다. 서울 관측지점 기준 시간당 최대 강수량이 141.5 mm에 이르며, 이례적인 집중호우로 인해 수도권 지역에 심각한 인명 및 재산 피해가 발생하였다. 한반도에 발생하는 집중호우는 중규모 대류계와 밀접한 관련이 있는 것으로 알려져 있다(Lee et al., 1998). 이에 따라 중규모 위험기상 현상에 대한 입체적인 감시와 수치예보모델의 예측 정확도 향상이 점점 더 중요해지고 있다.
기상청은 중규모 위험기상 현상을 이해하고 예측성을 향상시키기 위해 1999년부터 장마집중관측(Korea Monsoon Experiment; KORMEX), 한반도 악기상 집중관측사업(Korea Enhanced Observing Program; KEOP), 관측 및 예측가능성 향상 연구(Predictability and Observation Experiment, Probex) 등 다양한 집중관측 프로그램들을 추진하였다(Oh et al., 1996; Cho, 2001; Choi et al., 2006; Kim et al., 2010). 최근에는 2020년부터 여름철 집중관측 프로그램을 수행하여 수도권 중규모 대류계 구조를 분석하고, 수치예보모델의 예측 성능을 개선하고 있다(Hwang et al., 2021).
2020년 이전 국내에서 수행된 집중관측을 통해 수집된 자료는 위험기상의 구조 파악 및 관측자료의 영향 분석을 위한 관측시스템실험(Observing System Experiment; OSE) 등 사후 연구에 활용 되었으나, 실시간 현업 예보에는 활용되지 않았다(Won et al., 2006, 2008; Park et al., 2007; Kim et al., 2008, 2009; Hwang et al., 2011, 2012; Shin et al., 2012; Lee et al., 2012; Shim et al., 2013). 그러나 2020년부터 수집되는 여름철 집중관측자료는 실시간으로 예보관에게 제공되어 위험 기상 발생 시 실황 분석과 현업 수치예보모델의 초기장 생산 시 활용되고 있다. Hwang et al. (2021)은 2020년 수도권 집중관측 프로그램에서 수집된 라디오존데 관측자료의 영향을 한국형모델의 수평해상도 25 km의 저해상도 모델을 이용한 OSE 실험을 통해 살펴보았다. 그 결과, 고층집중관측자료의 활용으로 1~2일 강수 예측성 및 태풍 진로 예측이 개선됨을 보였다. Han et al. (2022, 2023)은 기상청 초단기 분석 및 예측 시스템(Korea Local Analysis and Prediction System; KLAPS)을 기반으로 한 OSE 실험에서 수도권 고층집중관측자료 활용으로 강수량 및 강수영역의 과대모의가 개선되는 효과를 보였고, 특히 2022년 8월 8일 집중호우 사례에서 서해안에서 수도권으로 유입되는 하층제트를 뚜렷하게 모의하여 강수 예측 성능이 개선됨을 보였다.
이 연구에서는 OSE와 함께 앙상블 기반의 관측자료 영향평가(Ensemble Forecast Sensitivity to Observation; EFSO)를 수행하여 2024년 수도권 고층집중관측자료가 수치예보모델의 예측 성능에 미치는 영향을 살펴보았다. 2장에서는 2024년 수도권 여름철 집중관측에 대해 소개하였고, 3장에서는 고층집중관측자료 영향평가 방법, 실험 모델 및 실험 설계에 대해서 설명하였다. 4장은 수도권 고층집중관측자료의 영향을 분석하였으며 5장에서는 요약과 결론을 제시하였다.
2. 2024년 수도권 여름철 집중관측 프로그램
기상청은 수도권 지역의 중규모 기상현상에 대한 구조 파악 및 수치예보모델의 예측 성능을 개선하기 위해 수도권 위험기상감시 프로그램을 운영하고 있다. 1단계는 2020년에 시작되었으며, 2단계는 2021년부터 2023년까지 진행되었다. 3단계는 2024년부터 2026년까지 수행될 예정이다. 이 프로그램은 집중관측망 설계, 집중관측 수행, 그리고 집중관측자료 활용을 통한 수치예보모델 개선 등으로 기상재해를 사전에 예방하고 예보 정확도를 향상시키는 것을 목적으로 한다. 집중관측에는 현업의 고층기상관측망, 기상관측선, 기상항공기, 기상관측차량, 웨이브 글라이더, 기상레이더 뿐만 아니라 연구용 장비인 윈드라이다, 소형기상레이더, 라디오미터 등 가용 가능한 관측장비들이 활용되고 있으며, 서해상-서해안-서울·경기 동부 지역 등에서 수평적으로 분해능이 높은 대기 연직정보를 산출하고 있다.
2024년 집중관측은 6월부터 10월까지 진행되었고, 관측기간에 따라 상시 집중관측, 특정기간 집중관측(이하, 특정관측)으로 나뉠 수 있다. 상시 집중관측은 전체 관측기간인 6~10월 동안 상시 운영되는 것으로, 앞서 나열한 집중관측장비들이 활용되고, 현업 정규 고층 기상관측 지점에서는 관측 횟수가 일 2회에서 일 4회로 확대되었다. 특정관측은 과거 2009년부터 2019년 사이 6~9월 중 시간당 30 mm 이상의 과거 집중호우 사례 분석 결과를 활용하여 10일씩 4회 관측을 수행하는 것으로, 기간은 해마다 유동적으로 선정하고 있다. 2024년 특정관측은 6월 24일부터 7월 3일(1차), 7월 29일부터 8월 7일(2차), 8월 26일부터 9월 4일(3차), 9월 23일부터 10월 2일(4차)에 이루어졌다. Figure 1은 집중관측기간 동안의 기상항공기, 기상관측선, 기상관측차량의 관측 위치를 나타낸 것으로 관측기간은 색으로 구분하였고, 관측 플랫폼은 모양으로 구분하였다. 기상관측선은 라디오존데를 이용하여 주로 서해상 근해에서 일 4회 고층관측을 수행하였다. 기상항공기는 서해 및 남해 먼 해상에서 드롭존데를 이용하여 일 1회 관측하였는데, 1회 관측 시 5-6개 드롭존데가 투하되었다. 기상관측차량은 안면도와 동두천에서 일 4회 고층관측을 수행하였다.
2024 IOP upper-air sounding data network. Yellow circles represent regular station in KMA. Red, blue, green, and black colors respectively represent 1st, 2nd, 3rd, and 4th period. The circle, square, cross, and triangle respectively represent the ship sonde, aircraft dropsonde, vehicle 1 sonde (Dongduchen), and vehicle 2 sonde (Anmyeondo).
3. 영향평가 및 실험 설계
3.1 수치예보모델을 활용한 관측자료 영향평가
수치예보모델에서 관측자료가 예측 성능에 미치는 영향을 평가하기 위해 선진기관에서는 OSE, Forecast Sensitivity to Observation (FSO), EFSO 등 다양한 방법을 사용하고 있다. OSE는 가장 전통적인 방법으로, 영향을 살펴보고자 하는 관측자료를 자료동화 과정에서 선택적으로 포함하거나 제거하여 관측자료가 수치예보모델에 미치는 영향을 직접적으로 평가하는 방법이다. 다음으로 수치예보모델의 수반모델을 이용하여 관측자료의 영향을 살펴보는 FSO는 관측자료가 단기예측에 미치는 영향을 추정하는 진단 기술로, OSE와 달리 추가적인 실험 없이 관측자료의 영향을 살펴볼 수 있다. 그러나 FSO는 수반모델을 기반으로 수행되어 비교적 많은 계산 비용이 소모되는 단점이 있다. 이에 Kalnay (2012)는 앙상블기반 자료동화 시스템을 활용하여 FSO 방법을 확장한 EFSO 방법을 제시하였다. EFSO는 앙상블 섭동을 사용하여 예측오차에 대한 관측영향을 추정하므로 수반 모델을 필요로 하지 않고, 더 긴 예측시간에 대해 관측자료의 영향을 평가할 수 있다. 또한 매 자료동화 과정에서 계산되는 EFSO의 관측자료 평가 결과는 관측자료의 사전 품질관리에 활용할 수 있어, 미국 등 선진기관에서는 EFSO를 이용한 관측자료 품질 관리 연구도 수행하고 있다.
본 연구에서는 관측자료의 영향을 직접적으로 평가할 수 있는 OSE와 최근에 활용되고 있는 EFSO 두 방법을 이용하여 특정관측에 이용된 고층집중관측자료의 영향을 살펴보았다. OSE 실험을 통해서 고층집중관측자료가 분석장 및 예측장에 미치는 영향을 정량적 검증과 사례 분석으로 살펴보았고, EFSO 분석으로 특정관측에 사용된 기상항공기의 드롭존데, 기상관측선과 기상관측차량의 라디오존데의 영향도를 비교하였다.
3.2 실험 모델 및 설계
OSE 실험은 고층집중관측자료를 활용한 규준 실험(CTL)과 제거한 실험(EXP)으로 구성하였다. 실험에는 기상청 현업에서 운영중인 한국형모델(Korean Integrated Model; KIM)을 이용하였다. KIM은 수평 격자 12 km (NE360NP3) 해상도를 가지고, 연직으로는 약 80 km까지 91개 층으로 구성되어 있고, 비정역학 육면체구(cubed-sphere) 격자 체계가 적용되었다. 자료동화는 3차원 변분과 앙상블 자료동화를 융합한 하이브리드 4차원 앙상블 변분 자료동화(Hybrid-4DEnVar)가 적용되어 있으며, 앙상블 자료동화 수행과 동시에 Kalnay et al. (2012)가 제안한 EFSO를 수행하도록 구현하였다(Jo et al., 2023). 따라서 이 연구에서는 OSE 및 EFSO를 동시에 수행하였다. 한국형모델 및 자료동화에 대한 자세한 내용은 Hong et al. (2018)과 Kwon et al. (2018)을 참고하기 바란다. 한국형모델은 매해 개선하여 새로운 버전으로 업데이트하고 있는데, 이 실험에서는 2024년 5월에 현업 운영이 된 3.9 버전을 이용하였다. 모델 초기장은 현업의 자료를 사용하였고, 2024년 특정관측 1~4차의 10일 동안 6시간 간격의 순환 실험을 수행하여 분석장의 영향을 살펴보았고, 하루에 두 번(0000, 1200 UTC), 5일 예측을 수행하여 수도권 고층집중관측자료가 예측 성능에 미치는 영향을 살펴보았다.
4. 실험결과
4.1 분석장 성능
수도권 고층집중관측자료가 자료동화에 활용됨으로써 분석장에 미치는 영향을 살펴보기 위해 수치예보 모델 배경값을 라디오존데 관측 및 참값으로 대표되는 European Centre for Medium-Range Weather Forecast (ECMWF)의 Integrated Forecast System (IFS) 분석장과 1~4차 실험기간의 한반도 지역(34~38°N, 125~129.5°E)에 대해 비교하였다. Figure 2a는 배경값과 라디오존데 관측과 차이로 850, 500, 200 hPa 온도에 대한 관측증분(O-B) 시계열을 나타내고, Fig. 2b는 배경값과 IFS 분석장의 차이를 나타낸 것으로 빨간색 실선은 CTL, 검정색 실선은 EXP를 나타낸다. 라디오존데 관측에 대비하여 850 hPa에서는 음의 편차가 다소 증가하나 그 외 층에서는 평균값이 감소하고, O-B 표준편차는 200 hPa에서 다소 증가하나 그 외 층에서는 감소하였다. 반면, IFS 분석장 대비 결과에서는 200 hPa에서 두 실험의 평균값이 유사한 것을 제외하고 모든 층에서 평균값과 표준편차가 감소하였다. 그림으로 제시하지는 않았으나, 라디오존데 관측과 비교하여 동서바람은 200 hPa 상층에서 양의 편차가 다소 증가하고, IFS 분석자료와 비교하여 850 hPal 하층의 표준편차가 증가하지만, 그 외 층에서는 O-B의 평균값과 표준편차가 감소하였다. 남북바람은 라디오존데 관측과 비교하여 상·중·하층의 평균값과 표준편차가 모두 감소하고, IFS 분석자료와 비교해 상층과 하층의 편차는 약간 증가하나, 표준편차는 모든 층에서 감소하였다. 비습 변수에 대해서는 850과 700 hPa의 하층에 대해 살펴보았으며, 수도권 집중관측자료 활용 시 850 hPa에서의 양의 비습 편차이 증가하는 것을 제외하고 분석한 모든 층에서는 평균값과 표준편차가 감소하였다. 이를 통해 수도권 고층집중관측자료는 한반도 지역에서 모델의 분석장과 예측장의 일관성을 높이는데 기여한다는 것을 알 수 있다.
4.2 예측장 성능
2024년 수도권 고층집중관측자료가 수치예보모델의 예측장에 미치는 영향을 살펴보기 위해 IFS 분석장을 참값으로 간주하여 아시아 지역(60~145°E, 25~45°N)에 대해 영역 평균한 기온, 비습, 지위고도, 바람의 1일(빨간색), 2일(초록색), 3일(파란색) 예측의 고도에 따른 RMSE를 살펴보았다(Fig. 3). 40일(1~4차의 10일간)동안 아시아 지역에서 1~2일의 단기 예측오차 개선율은 중립 수준 이상으로 1일 예측에서 두 실험의 오차 개선율은 850 hPa 온도에서는 약 0.10%, 700 hPa 비습은 약 0.10%, 500 hPa 지위고도는 약 0.09% 개선되었다. 예측 초기의 작은 개선은 예측이 진행됨에 따라 예측 오차를 감소시켜, 3일 예측에서 중∙상층(약 850~200 hPa)의 기온과 풍속, 모든 고도의 지위고도에서 EXP 대비 CTL의 예측오차가 작게 나타났다. 두 실험의 대기 예측 변수의 예측 성능 비교를 통해 CTL이 중립 또는 고도별로 약간 개선된 예측 성능을 보임을 알 수 있다.
The vertical RMSE for (a) temperature, (b) specific Humidity, (c) geopotential Height, and (d) wind speed against IFS over Asia region (60~145oE, 25~65oN). Solid lines and dashed lines respectively represent CTL and EXP. Red, green and blue colors indicate the 24-hr, 48-hr and 72-hr forecast.
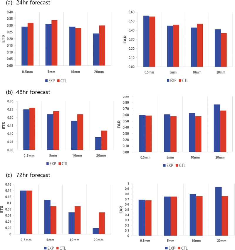
고층집중관측자료가 한반도 지역의 강수에 미치는 영향을 정량적으로 살펴보기 위해 한반도 지역의 강수 재분석장을 이용하여 6시간 누적강수에 대한 공정임계지수(Equitable Threat Score; ETS)와 오경보율(False Alarm Rate; FAR) 비교하였다. ETS 값은 -1/3~1 사이의 값을 가지고, 1은 완벽한 예보를 나타낸다. 0은 무작위 예측, 즉 예측 능력이 없음을 의미하고, 음수는 무작위 예측보다도 성능이 나쁠 때 나타나며, 강수 발생확률이 매우 낮을 때 최소값이 -1/3로 수렴한다. FAR는 강수 예보 중 실제로 강수가 발생하지 않은 오경보의 비율을 나타내며, 0에 가까울수록 강수 사건이 실제로 발생했음을 의미하며, 값이 클수록 많은 오경보를 낸 것을 의미한다. 검증을 위해 사용된 강수 재분석장은 기상청에서 산출하는 자료로 기상청 AWS, 기상레이더, 천리안 구름탐지 산출물 등으로 만들어진 1시간 간격의 5 km 해상도 자료로, 본 연구에서는 6시간 누적강수를 산출하여 활용하였다. Figure 4는 한반도 지역의 1일부터 3일까지 예측에 대한 0.5, 5, 10, 20 mm 임계치별 ETS와 FAR를 나타낸 그림으로 빨강색은 CTL, 파랑색은 EXP를 나타낸다. CTL의 1일 예측의 ETS는 0.5, 5, 20 mm 임계치에서 각각 약 10.34%, 9.68%, 25.00% 개선되었으며, 특히 20 mm에서 CTL의 FAR가 9.73% 개선되어 강한 강수의 예측 성능이 우수하였다. 반면, 10 mm에서는 EXP가 약간 높은 성능을 보였다. 2일 예측에서는 모든 임계치에서 CTL이 EXP보다 높은 예측 성능을 나타냈다. 특히 20 mm 이상 강수에서 CTL의 ETS와 FAR가 크게 향상되었는데, ETS는 약 33.33%, FAR는 약 14.93%가 개선되었다. 3일 예측에서는 1, 2일 예측에 비해 예측 성능이 저하되었으나, CTL이 10, 20 mm에서 여전히 높은 예측성을 나타내었다. 1~3일 강수의 ETS와 FAR의 비교를 통해 수도권 고층집중관측자료는 한반도 지역의 단기 강수 예측 성능을 향상시킨다는 것을 알 수 있다. 특히 수도권 고층집중관측자료는 20 mm 이상의 강한 강수 예측 성능 향상에 큰 영향을 준다는 것을 알 수 있는데, 이는 강한 강수 발생 시에 대류 및 불안정이 강한 대기 상층의 관측자료가 KIM에 더 활용됨으로써 보다 정확한 분석이 이루어지고, 이는 예측에 더 큰 개선 효과를 준 것으로 보인다.
ETS (left) and FAR (right) in 0.5, 5, 10, 20 mm precipitation threshold for (a) 24-hr, (b) 48-hr, and (c ) 72-hr forecast. Red and blue bars respectively represent CTL and EXP.
그림으로 제시하지 않았으나, 특정관측 기간 중 강수가 집중된 1차 기간에 대해 강수 검증을 분석하였다. 1일 예측에 대한 평균 ETS는 EXP와 CTL이 0.43과 0.47, 2일 예측에 대한 평균 ETS는 0.26과 0.30으로 각각 약 11.18%와 15.38%가 향상되었고, 1일과 2일 예측의 평균 FAR에서도 각각 약 8.26%, 3.32%가 개선되었다. 3일 예측에 대한 평균 ETS는 각각 0.13과 0.12이고, 두 실험의 FAR 는 약 0.66으로 유사하게 나타나 고층집중관측자료의 효과는 중립으로 보인다. 1~4차의 전 기간과 1차 기간의 ETS와 FAR를 비교하였을 때, 강수 사례가 많았던 1차 기간의 1~2일 강수 예측 정확도 향상과 오경보율 감소가 큼을 알 수 있다. 이는 강수 현상이 있을 때, 고층집중관측자료는 수치예보모델의 예측 성능 향상에 더 긍정적으로 작용하여 한반도 지역의 단기 강수 예측 성능을 향상시킬 수 있음을 시사한다.
4.3 대표 사례 진단
앞 절에서는 수치예보모델의 대기 변수 및 강수 예측 등의 정량적 평가를 통해 고층집중관측자료가 수치예보모델의 예측 성능 향상에 기여함을 알 수 있었다. 이를 바탕으로 본 절에서는 실험 기간 동안 우리나라에 발생한 강수, 폭염, 태풍 등의 사례를 선정하여 각 사례별 고층 집중 관측자료의 효과에 대해 분석하였다. 2024년 장마철에 해당하는 1차 기간의 정체전선에 의한 2개 강수 사례, 최고 기온 1개 사례, 태풍 1개 사례를 살펴보았다. 2024년 태풍은 집중관측 기간 동안 총 16개가 발생하였고, 그 중 우리나라에 직접 영향을 준 태풍으로는 '종다리(9호)'와 '산산(10호)'이며, 3차 특정관측 시기에 영향을 준 '산산'에 대해 분석하였다.
첫 번째 강수 사례는 6월 29~30일로 우리나라에 동서로 걸친 정체전선과 고기압 가장자리로 따뜻하고 습한 공기가 지속적으로 유입되면서 전국에 강수가 발생하였고, 특히 강원 북부 및 전남에 강한 강수가 발생한 사례이다(Fig. 5). Figure 6은 CTL과 EXP의 1일 예측을 보여주고, Fig. 7은 두 실험 간 강수 차이, 850 hPa 기온 및 바람의 차이, 두 실험의 850 hPa 유선 및 등풍속선을 각각 나타낸다. 고층집중관측자료 활용으로 수도권 및 강원도를 포함한 중부지방, 그리고 강한 강수량을 기록한 전남에 강수량이 증가하여 관측과 유사한 강수 분포를 모의하였다. 이 때 종관장을 살펴보면, 고층집중관측자료는 모델에서 북부지방의 저기압 순환을 강화시키고, 중부지방으로 기류 수렴을 유도하여 강수량 증가에 기여한 것으로 판단된다. 그리고 남해상으로는 하층 제트(25 knot 이상)가 더 강하게 모의되어, 집중호우 발생의 호조건으로 작용한 것으로 분석된다.
The surface analysis charts at 1200 UTC 29 June 2024 (left) and the 24 hr accumulated precipitation of AWS at 0000 UTC 30 June, 2024 (right).
The 24-hr accumulated precipitation of 24-hr forecast of (a) CTL and (b) EXP issued on 0000 UTC 29 June 2024.
Difference of between CTL and EXP for (a) precipitation and (b) temperature and wind vector at 850 hPa, streamline and isotach at 850 hPa of (c) CTL and (d) EXP issued on 0000 UTC 29 June 2024.
두 번째 강수 사례는 7월 2일로 산둥반도 서쪽으로 저기압 발달과 전면의 정체전선상에서 발달하는 저기압의 영향으로 전국에 강수가 발생하였고, 고기압 가장자리를 따라서 지속적인 남서류가 유입되어 강수가 강하게 발달한 사례이다(Fig. 8). Figure 9를 보면, CTL과 EXP 두 실험 모두 30 mm 이상의 전반적인 강수 영역을 잘 모의하고 있으나, CTL은 서울 및 수도권 남부지역의 60 mm 이상의 강수량 및 강수 영역을 관측과 유사하게 모의하였다. 그러나 EXP는 서울 및 수도권 남부지역의 강수를 약하게 모의하고 있으며, 강한 강수 구역이 관측 대비 남쪽으로 편향되어 있으며, 두 실험의 강수량 차이는 Fig. 10a에서 확인할 수 있다. 종관장의 차이를 살펴보면 고층집중관측자료의 활용으로 수도권 지역으로 하층 수렴 및 연직 바람이 강화되어 강수량이 증가하였음을 알 수 있다.
The surface analysis charts at 0000 UTC 2 July 2024 (left) and the 12 hr accumulated precipitation of AWS at 1200 UTC 2 July, 2024 (right).
The 12-hr accumulated precipitation of 24-hr forecast of (a) CTL and (b) EXP issued on 0000 UTC 2 July 2024.
Difference of between CTL and EXP for (a) precipitation and (b) temperature and wind vector at 850 hPa, divergence (10-3 m s-1, shaded) and vertical wind (m s-1, solid line) at 850 hPa for (c) CTL and (d) EXP at 0000 UTC 2 July 2024.
최고 기온 사례는 2024년 8월 4일로 북태평양 가장자리를 따라 유입된 남쪽 기류의 영향으로 전국 대부분 지역에 폭염 특보가 발효되었다(Fig. 11). Figure 12에서 보듯이 두 실험 모두 태백산맥 서쪽 지역의 30oC 이상 기온을 성공적으로 모의하고 있으나, 수도권 고층집중관측자료 활용으로 수도권 지역의 35oC 이상의 높은 온도를 성공적으로 모의하여 1~2일 예측의 15시 기준 최고기온 예측이 개선되었다.
The surface analysis charts at 0000 UTC 2 July 2024 (left) and the maximum temperature of AWS at 0600 UTC 4 August, 2024 (right).
1- and 2-day forecast for temperature at 0600 UTC 4 August, 2024. Yellow color indicates the region over 30oC.
3차 특정관측 기간 중 우리나라에 영향을 준 태풍 '산산'은 8월 22일 북서태평양 마리아나제도 근처에서 발생하여 일본 규슈로 상륙하여 8월 31일 열대저압부로 약화되었다(Fig. 13). Figure 14는 초기시각별 예측된 태풍의 이동 경로를 나타낸 그림이다. 검정색은 태풍의 베스트 트랙을 나타내고, 빨강색은 CTL, 파랑색은 EXP의 예측된 이동 경로를 나타낸다. 먼저 태풍 경로 예측을 비교해보면, 일부 예측 시각을 제외한 60시간 이내의 예측에서는 고층 집중 관측자료가 활용된 CTL이 베스트 트랙에 더 가깝게 모의하고 있으며, 이를 정량적인 수치로 살펴보면 예측 54시간과 60시간에서 태풍 경로 오차가 크게 감소하는 것을 알 수 있다(Fig. 15). 그림으로 제시하지 않았으나, 중심 최저기압의 오차는 예측 24시간과 60시간에서는 CTL이 작았으나, 두 예측 시간을 제외하고 EXP가 약 1~2 hPa 작게 나타났다. 최대 풍속은 예측 28~42시간에서는 CTL이 작은 오차를 모의하는 반면, 예측 초기와 후반에서는 EXP의 오차가 작게 나타났다. 고층집중관측자료의 활용 시기에 따라 태풍에 대한 영향도가 다르게 나타나고 있으나, 고층 집중 관측자료는 태풍 경로와 최대 풍속 등 수치예보모델의 태풍 예측 성능 향상에도 영향을 준다는 것을 알 수 있다.
The predicted tracks for typhoon ‘Shanshan’ issued on (a) 0000 UTC 26, (b) 0000TC 27, (c) 0000 UTC 28 and (d) 0000 UTC 29, August 2024. Black, red, blue lines respectively represent the observation, CTL, and EXP.
4.4 EFSO 기반 고층집중관측의 지점별 영향 분석
EFSO는 앙상블 자료동화를 기반으로 이전 분석 시각과 현재 분석 시각에 적분된 예측장의 오차를 습윤 총 에너지 놈(moist total energy norm)의 형태로 계산하여, 분석장 생성 시, 활용된 관측자료의 예측 영향도를 확인하는 방법이다. 이는 아래 식과 같이 앙상블자료동화의 제어변수인 바람(u, v), 기온(T), 비습(q), 지상기압(Ps)를
이용하여 운동, 잠재, 습윤에너지를 계산하는 방법으로, 식에 대한 상세한 내용은 Jo et al. (2023)에 명시되어 있다. 선행연구에서 24시간 예측장에 대한 관측자료의 영향도를 분석하는 것과 달리, 본 연구에서는 6시간 예측장 기반 관측자료 영향도를 확인하였다. 2024년 특정관측 중 많은 양의 강수가 집중되었던 1차 관측기간에 대해 EFSO 방법을 이용하여 고층집중관측자료의 지점과 변수별 영향을 분석하였다. Figures 16-19는 기상항공기 드롭존데, 기상관측선 라디오존데, 동두천과 안면도 기상관측차량 라디오존데 고층관측자료의 동서바람, 남북바람, 기온, 비습의 영향도를 나타낸다. 본 연구에서 사용된 EFSO 방법은 LETKF (Local Ensemble Transform Kalman Filter) 앙상블 자료동화에서의 배경장과 분석장을 초기값으로 하여 예측된 각각의 6시간 앙상블 예측을 앙상블 평균을 참으로 하여 두 예측의 차이를 구한 후, 그 차이를 에너지 놈으로 변환하여 정량적 수치로 표현하는 방법으로, 음의 값이면 관측자료가 예측장에 긍정적 영향을 미침을 의미하고, 절대값이 클수록 영향도가 크다고 할 수 있다. Figures 16a-19a는 관측지점별 변수별 영향도로 고층집중관측 지점에서 측정된 모든 관측자료의 영향도에 해당한다. 이는 관측자료가 많을수록 절대값이 커질 수 있음을 의미한다. 제시하지는 않았으나, 1차 관측기간의 집중관측 자료 수는 바람 변수의 경우 안면도 라디오존데, 기상관측선 라디오존데, 동두천 라디오존데, 기상항공기 드롭존데 순으로 많았고, 온도와 습도도 안면도 라디오존데가 가장 많고, 그 다음으로는 동두천 라디오존데, 기상관측선 라디오존데, 기상항공기 드롭존데 순으로, 안면도 라디오존데에서 가장 많은 관측 자료가 제공되었고, 기상항공기 드롭존데에서 가장 적은 관측 자료가 제공되었다. 이에 따라 관측지점별 변수별 영향도에서 온도와 바람의 경우 관측자료의 수가 가장 많았던 안면도 라디오존데의 영향이 가장 크고, 습도의 경우 기상항공기 드롭존데의 영향이 가장 크게 나타났다. 기상항공기 드롭존데는 관측자료의 수가 가장 많지는 않았지만, 모델의 초기장 변화에 가장 크게 영향을 준 것으로 판단되고 향후 보다 자세한 분석이 필요할 것으로 판단된다. 지금까지 관측지점별, 변수별 총 영향도를 확인해 보았는데, 앞서 밝힌 바와 같이 총 영향도는 해당 지점에서 관측된 자료수가 많으면 절대값이 커지고, 즉 영향도가 커진다. 따라서 각 관측자료가 예측장에 미치는 영향도를 정량적으로 비교하기 위해서 총 영향도를 관측수로 나누어 관측지점별 한 개 관측자료의 영향도를 살펴보았다(Figs. 16b-19b). 하나의 관측자료가 미치는 영향도에서는 기상항공기 드롭존데의 관측자료가 바람의 예측 성능에 큰 영향을 주고, 안면도 라디오존데가 온도 예측 성능에 큰 영향을 주는 것으로 나타났다. 또한 비습 예측 성능에는 남서해상에서 관측을 수행한 기상항공기 드롭존데의 영향이 크게 나타났다. Figures 16c-19c는 예측 성능 개선에 긍정적인 영향을 준 관측자료 수의 비율을 나타낸다. 대체로 앙상블 자료동화에 사용된 관측지점 중 60% 이상의 관측자료가 예측 성능 향상에 긍정적 영향을 미치고 있음을 확인할 수 있다. 이를 통해 안면도 라디오존데는 많은 관측 수와 기여도가 크다는 것을 확인할 수 있고, 기상항공기 드롭존데는 적은 관측 수에도 불구하고 긍정적 영향을 미치고 있음을 확인할 수 있다. 해당 결과는 앙상블 자료동화만의 결과로 융합형 앙상블 변분 자료동화에서 사용된 관측자료의 영향도와 완벽히 일치하지는 않지만, 앙상블의 6시간 예측에서의 영향이라고 생각하면 될 것이다.
(a) The averaged total observation impact, (b) the averaged observation impact for per observation, and (c) percentage of beneficial observations from observation points for temperature during the first period. [47197: aircraft dropsonde, 22003: ship sonde, 47194: vehicle1 sonde (Dongducheon), 47195: vehicle2 sonde (Anmyeondo)].
5. 요약 및 결론
2020년부터 여름철 수도권 지역의 위험기상 예측성 향상을 위해 고층집중관측을 수행하고 있으며, 관측자료는 실시간으로 제공되어 실황 분석과 현업 수치예보모델에서 활용되고 있다. 이 연구에서는 OSE와 EFSO를 이용하여 2024년 6월부터 10월 여름 동안 4차례 걸쳐 관측된 특정관측의 고층집중관측자료가 한국형모델에 미치는 영향을 분석하였다. 고층집중관측자료가 자료동화에 활용됨으로써 라디오존데와 IFS 분석장 온도에 보다 가깝게 모의되었으며, 특히 중하층에서 그 영향이 크게 나타났다. 분석장에서의 개선은 예측장의 개선으로 이어져 고층집중관측자료를 동화하였을 때 하층기온의 1~3일까지 예측 성능이 지속적으로 개선되었다. 또한 강수 재분석자료 대비 강수 예측 성능을 비교하였을 때 고층집중관측자료는 한반도의 1~3일의 단기 강수 예측 성능을 향상시키고, 강수 임계치 중 20 mm 이상의 강한 강수 성능 개선에 큰 영향을 준다는 것을 알 수 있었다. 2개의 강수 사례 분석을 통해 고층집중관측자료는 저기압 순환과 기류 수렴 등을 강화 시켜 한국형모델에서 집중호우가 내리기 좋은 조건을 만들고 이를 통해 강한 강수가 내렸던 지역에 강수량 증가와 강수 분포가 개선되는 것을 알 수 있었으며, 이는 강수재분석 자료를 통한 정량적인 강수 검증 결과와도 일치하였다. 이 외에도 고층집중관측자료는 일최고기온과 태풍 진로 및 최대 풍속의 예측 성능도 개선시켜 규준과 비교하여 관측과 유사한 폭염과 태풍 '산산' 예측결과를 모의하였다. 하지만 이 논문에서 살펴본 태풍 사례는 1개의 사례이며, 1, 2, 3, 4일전 예측, 즉 초기시각에 따라 예측 성능이 달라지는 것을 볼 수 있었다. 이는 태풍 사례마다 차이가 있을 것으로 생각된다. 따라서 향후 고층집중관측에서 분석 가능한 다수의 태풍 사례를 통해서 통계적으로 유의미한 결과를 도출할 필요가 있을 것이다.
EFSO 분석에서는 한 개 관측자료의 영향도를 비교한 결과, 습도 예측 성능에는 남∙서해상에서 고층관측을 수행한 기상항공기 드롭존데의 영향이 가장 크게 나타났다. 이는 해상의 습도 정보가 한국형모델에 추가 활용됨으로써 초기장이 개선되었을 것으로 생각되며, 습도 예측에 있어서 해상에서의 고층집중관측이 중요한 역할을 한다는 것을 알 수 있다. 온도와 바람 예측 성능에는 안면도 라디오존데와 기상항공기 드롭존데 관측자료의 영향이 크게 나타났다. 안면도 라디오존데 관측을 통해 수집된 대기 전층의 온도 및 바람 정보가 초기장 성능 향상에 가장 많이 기여하였고, 기상항공기 드롭존데는 관측이 성긴 해상에서 추가 정보를 제공함에 따라 초기장 개선에 기여하였을 것으로 보인다. 지점별 고층집중관측자료의 기여도의 차이는 향후 지점별 영향평가를 통해 보다 상세하게 살펴볼 계획이다.
기상청은 수도권 지역에 영향을 주는 중규모 기상현상에 대한 구조파악 및 수치예보모델의 예측 성능을 개선하기 위해 수도권 집중관측을 2026년까지 지속적으로 실시할 계획이다. 또한, 이 연구에 사용된 영향평가 방법인 OSE 및 EFSO를 이용하여 고층집중관측자료의 기여도 분석을 지속적으로 수행할 계획이며, 장기간의 고층집중관측자료 영향평가 결과는 향후 최적 관측망 구축을 위한 기반 마련에 기여할 수 있을 것이다.
Acknowledgments
본 논문의 개선을 위해 좋은 의견을 제시해 주신 두 분의 심사위원님께 진심으로 감사드립니다. 또한 2024년 수도권 고층집중관측을 위해 노력해주신 기상항공기, 기상관측선, 기상관측차량의 모든 담당자분들께 깊은 감사드립니다. 이 연구는 수치모델링센터『수치예보 및 자료응용 기술개발』과제(KMA2018-00721)의 일환으로 수행되었습니다.
References
- Cho, C.-H., 2001: Korea enhanced observing period: KEOP. Atmosphere, 11, 9-11 (in Korean).
- Choi, Y.-J., and Coauthors, 2006: The overview and DB of KEOP phase 1 intensive observation. Proceedings of the fall Meeting of Korean Meteorological Society, 274-275 (in Korean).
- Han, W.-J., Y.-H. Kim, and H.-Y. Won, 2022: Impact assessment of precipitation predictability of KLAPS using intensive observation for high impact weather in the Seoul capital area. Proceedings of the fall Meeting of Korean Meteorological Society, 386 (in Korean).
- Han, W.-J., S.-Y. Lee, H.-Y. Won, K.-H. Lee, S.-B. Kim, and Y.-C. Kwon, 2023: Evaluation of the impact of using observation data based on the KLAPS. Proceedings of the fall Meeting of Korean Meteorological Society, 344 (in Korean).
-
Hong, S.-Y., and Coauthors, 2018: The Korean Integrated Model (KIM) system for global weather forecasting. Asia-Pac. J. Atmos. Sci., 54, 267-292.
[https://doi.org/10.1007/s13143-018-0028-9]
-
Hwang, Y.-J., J.-C. Ha, Y.-H. Kim, K.-H. Kim, E.-H. Jeon, and D.-E. Chang, 2011: Observing system experiments using KLAPS and 3DVAR for the upper-air observations over the South and West sea during ProbeX-2009. Atmosphere, 21, 1-16.
[https://doi.org/10.14191/Atmos.2011.21.1.001]
- Hwang, Y.-J., J.-K. Shim, J.-I. Park, Y.-H. Kim, and K.-Y. Jung, 2012: Evaluation based on NWP of special observation data over the Seoul metropolitan area during the winter season 2012. Proceedings of the spring Meeting of Korean Meteorological Society, 68-69 (in Korean).
-
Hwang, Y.-J., J.-H. Ha, C.-H. Kim, D. Choi, and Y.-H. Lee, 2021: Observing system experiment based on the Korean Integrated Model for upper air sounding data in the Seoul capital area during 2020 intensive observation period. Atmosphere, 31, 311-326.
[https://doi.org/10.14191/Atmos.2021.31.3.311]
- Jo, Y.-S., J.-H. Ha, and S.-B. Kim, 2023: Ensemble sensitivity to observations of Korea Integrated Model (KIM). Technical Note of NMC in KMA, 11-1360709-000086-01 (in Korean).
-
Kalnay, E., Y. Ota, T. Miyoshi, and J. Liu, 2012: A simpler formulation of forecast sensitivity to observations: application to ensemble Kalman filter. Tellus, 64, 18462.
[https://doi.org/10.3402/tellusa.v64i0.18462]
- Kim, K.-H., Y.-H. Kim, D.-E. Jang, S.-S. Shin, D.-K. Kim, Y.-J. Hwang, D.-Y. Choi, and J.-I. Park, 2010: The introduction and analysis of rainfall cases of special observation program over the Seoul metropolitan area during 2010. Proceedings of the fall Meeting of Korean Meteorological Society, 260-261 (in Korean).
- Kim, Y.-H., H.-S. Lee, E.-H. Jeon, K.-H. Kim, H.-Y. Won, C.-K. Park, and S.-J. Lee, 2008: The status of T-PARC 2008. Proceedings of the Fall Meeting of Korean Meteorological Society, 284-285 (in Korean).
- Kim, Y.-H., K.-H. Kim, E.-G. Jeon, Y.-J. Hwang, H.-Y. Won, S.-J. Lee, and D.-E. Jang, 2009: Experiments using special observation for extreme weather during 2009. Proceedings of the Fall Meeting of Korean Meteorological Society, 354-355 (in Korean).
-
Kwon, I.-H., and Coauthors, 2018: Development of operational hybrid data assimilation system at KIAPS. Asia-Pac. J. Atmos. Sci., 54, 319-335.
[https://doi.org/10.1007/s13143-018-0029-8]
- Lee, D.-K., H.-R. Kim, and S.-Y. Hong, 1998: Heavy rainfall over Korea during 1980-1990. Korean J. Atmos. Sci., 1, 32-50.
- Lee, S.-M., Y.-H. Kim, K.-Y. Jung, J.-K. Shim, S.-S. Shin, D.-K. Kim, J.-I. Park, H.-H. Kim, and J.-Y. Moon, 2012: Mechanism of genesis of extreme weather and the results of special observation program over the Korean Peninsula during 2012. Proceedings of the fall Meeting of Korean Meteorological Society, 400-401 (in Korean).
- Oh, J.-H., W.-T. Kwon, and S.-B. Ryu, 1996: KORMEX (Korea Monsoon Experiment). Proceedings of the spring Meeting of Korean Meteorological Society, 11-12 (in Korean).
- Park, Y.-Y., C.-G. Park, Y.-J. Choi, and C.-H. Cho, 2007: Sensitivity analysis of simulated precipitation system to the KEOP-2004 intensive observation data. Atmosphere, 17, 435-453.
- Shim, J.-K., J.-C. Ha, and K.-Y. Jung, 2013: The introduction of special observation program for extreme weather during winter season 2013. Proceedings of the spring Meeting of Korean Meteorological Society, 596-597 (in Korean).
- Shin, S.-S., J.-I. Park, Y.-J. Hwang, Y.-H. Kim, and K.-Y. Jung, 2012: Analysis of effect of data assimilation according to temporal and spatial distribution of special observation data over the Seoul metropolitan area during summer season 2010. Proceedings of the spring Meeting of Korean Meteorological Society, 46-47 (in Korean).
- Won, H.-Y., C.-H. Cho, and S.-K. Baek, 2006: Classification of precipitation type using wind profiler observations and analysis of the associated synoptic conditions: years 2003~2005. Atmosphere, 16, 235-246.
- Won, H.-Y., C.-G. Park, Y.-H. Kim, H.-S. Lee, and C.-H. Cho, 2008: Observing system experiments using intensive observation during KEOP_2005. Atmosphere, 18, 299-316.





